Предмет: Алгебра,
автор: Муримил
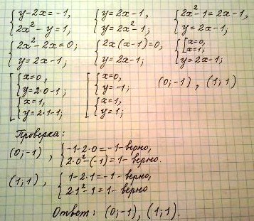
Помогите решить
Система уравнений
y-2x=-1
2x^2-y=1
Ответы
Автор ответа:
1
Решение во вложенном изображении
Приложения:
Похожие вопросы
Предмет: Английский язык,
автор: Imonajonim
Предмет: Русский язык,
автор: Аноним
Предмет: Алгебра,
автор: frey5005
Предмет: Алгебра,
автор: Аноним