Предмет: Математика,
автор: LisaRu
номер 17, ооочень прошу, помогите) с меня лойс + метка лучший ответ)
Приложения:
Ответы
Автор ответа:
1
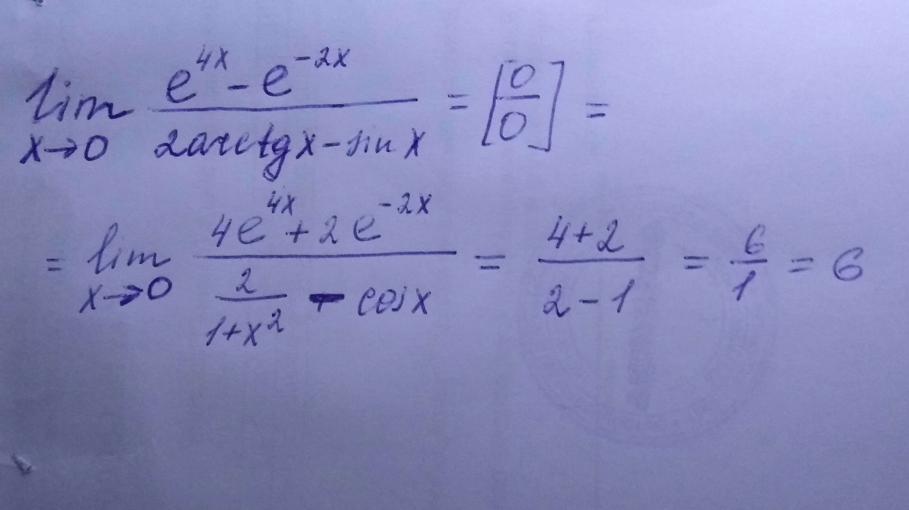
Находим производную числителя и производную знаменателя.
Приложения:
Похожие вопросы
Предмет: Геометрия,
автор: snsnsmemtmtrf
Предмет: Литература,
автор: katy091202
Предмет: Қазақ тiлi,
автор: sagyndykospan
Предмет: Математика,
автор: Raimzhanova2011
Предмет: Математика,
автор: 1234567890ягений