Предмет: Алгебра,
автор: Lirmeri
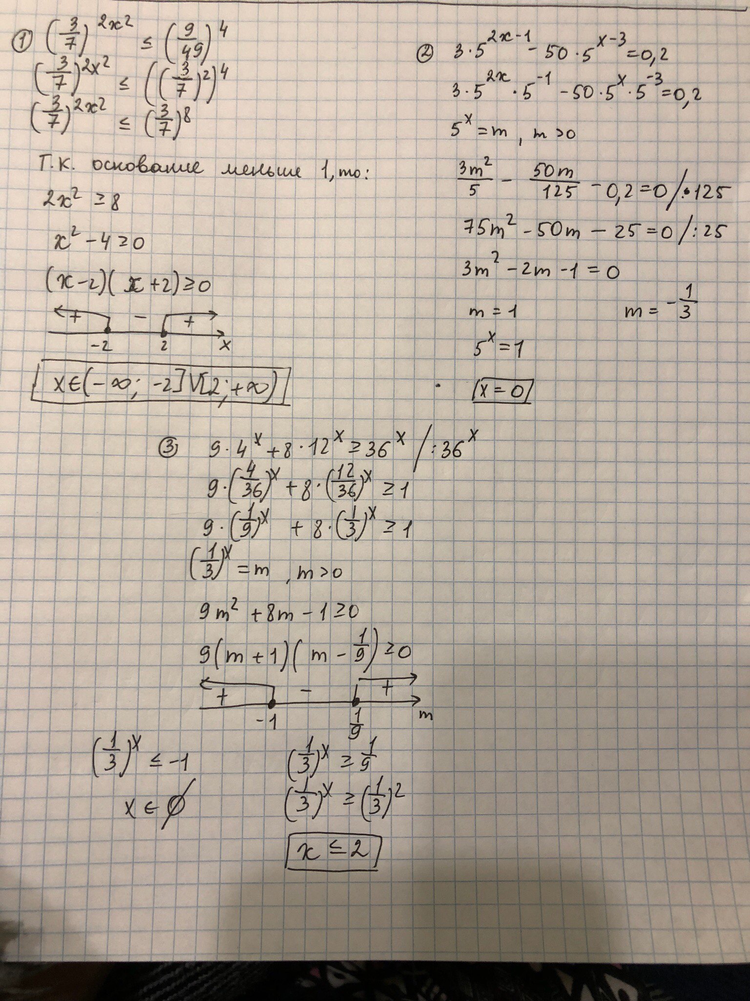
Помогите решить пожалуйста
(1)
(2)
(3)
Ответы
Автор ответа:
0
Ответ ответ ответ ответ ответ
Приложения:
Похожие вопросы
Предмет: Биология,
автор: ersainalina
Предмет: Математика,
автор: majnadla95
Предмет: Английский язык,
автор: Аноним
Предмет: Математика,
автор: aleksandra12312
Предмет: Алгебра,
автор: anyashabalna2