Предмет: Алгебра,
автор: Аноним
с полным решением пожалуйста!
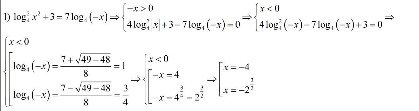
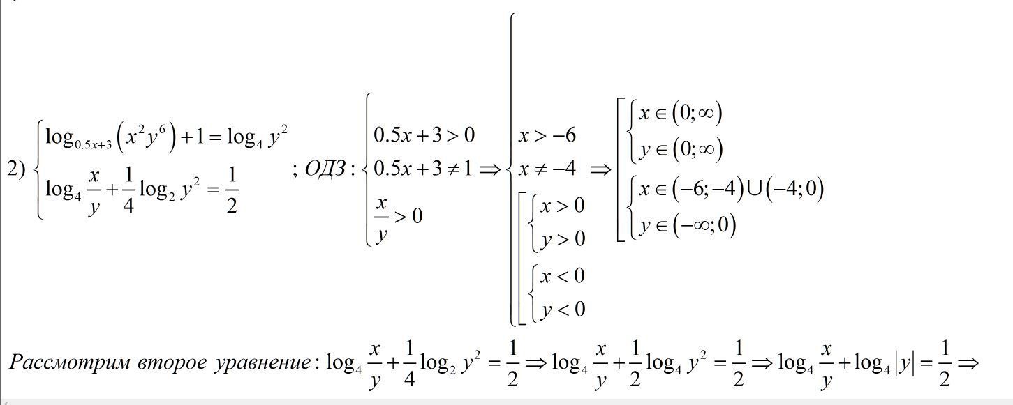
Приложения:
Ответы
Автор ответа:
1
.............................................................................................
Приложения:
Похожие вопросы
Предмет: Английский язык,
автор: Аноним
Предмет: Русский язык,
автор: prozzalla
Предмет: Алгебра,
автор: Stanishevskaa
Предмет: Математика,
автор: тёма20032016
Предмет: Биология,
автор: Otokunova