Предмет: Алгебра,
автор: Dahokf
Решите пожалуйста!!!!!второй номер!!!!
Приложения:
Ответы
Автор ответа:
1
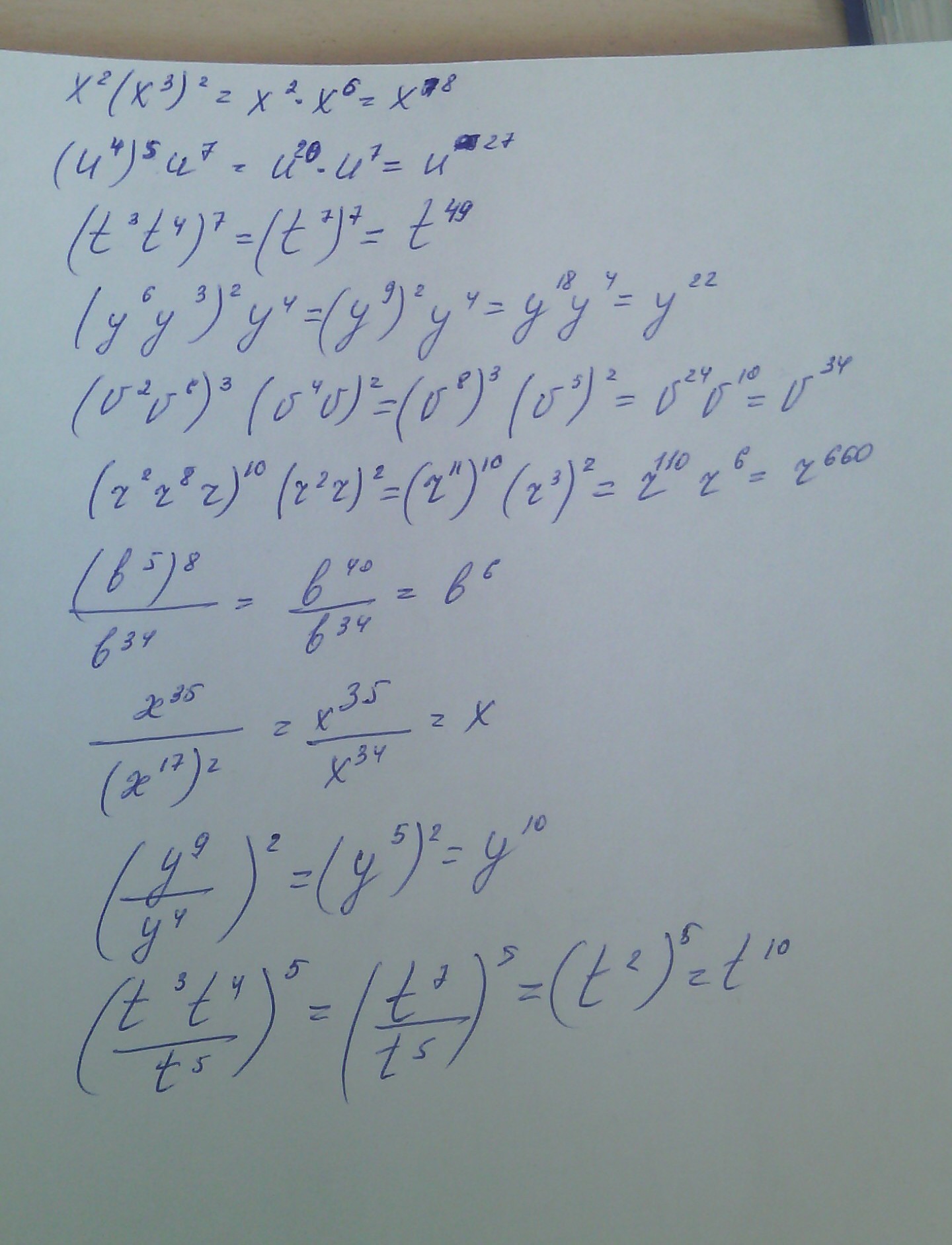
Вот если поймешь решение
Приложения:
Автор ответа:
1
а) 
б)
в)
г)
д)
е)
ё)
ж)
з)
и)
Надеюсь, помог
б)
в)
г)
д)
е)
ё)
ж)
з)
и)
Надеюсь, помог
Похожие вопросы
Предмет: Английский язык,
автор: darynonlain567
Предмет: Математика,
автор: Аноним
Предмет: Информатика,
автор: anastasiafedosova
Предмет: Математика,
автор: 2012Марго
Предмет: Математика,
автор: кактус40