Предмет: Математика, автор: JAFARJONBE

помогите по математике шестой класс пожалуйста два номера

Приложения:

Ответы

Автор ответа: parus77
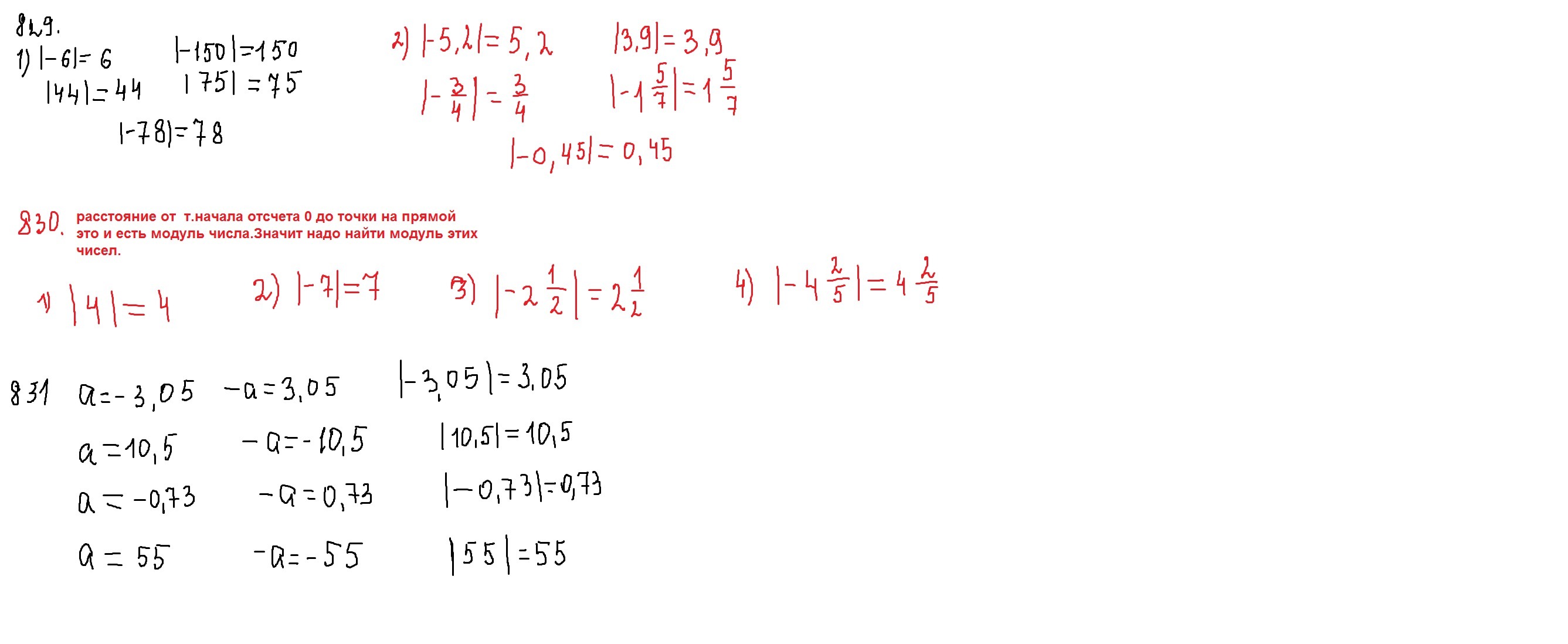
1
решение смотри внизу
Приложения:

love67: что не устроило в ответе?
Похожие вопросы
Предмет: Математика, автор: natalieche86
Многопрофильная инженерная олимпиада «Звезда» по естественным наукам 7 класс
- Отборочный этап 2021 2022
Вариант № 1
1. (16 баллов) Маша, Ваня и Даша собирали ягоды. Маша собрала ягод на 25% больше, чем Ваня, но на 25% меньше, чем Даша. На сколько процентов Ваня собрал ягод меньше, чем Даша?
2. (17 баллов) Ане бабушка днём подарила большую коробку конфет. Каждый вечер Аня съедала треть имеющихся в коробке конфет, а каждое утро – две конфеты. В четвёртый вечер Аня обнаружила, что в коробке осталось всего две конфеты, которые тут же съела. Сколько всего конфет было в коробке?
3. (17 баллов) Фермер для выращивания огурцов использовал теплицу прямоугольной формы, длина которой на 10 м больше её ширины. На следующий год фермер решил увеличить площадь теплицы на 400 м2 . Для этого длину теплицы увеличил на 10 м, а ширину – на 2 м. Найдите площадь новой теплицы (в м2 ).
4. (20 баллов) Имеется наполненный водой аквариум длиной a=50 см, шириной b=10 см и высотой c=200 мм. Воду из аквариума необходимо слить. В качестве ёмкости для сливаемой воды служит трёхлитровая банка. Какая масса воды (в кг) останется в аквариуме после того, как банка будет полностью заполнена? Плотность воды ρ=1000 кг/м3 .
5. (15 баллов) Первый автомобиль проехал расстояние 4S со скоростью v за 30 минут. Сколько минут потратит второй автомобиль, двигаясь с вдвое большей скоростью, на то, чтобы преодолеть расстояние 12S?
6. (15 баллов) Определите угол, на который поворачивается часовая стрелка за полтора часа (в градусах). Многопрофильная инженерная олимпиада «