Предмет: Математика,
автор: Риноун
Решите дроби пожалйста
Приложения:
Ответы
Автор ответа:
1
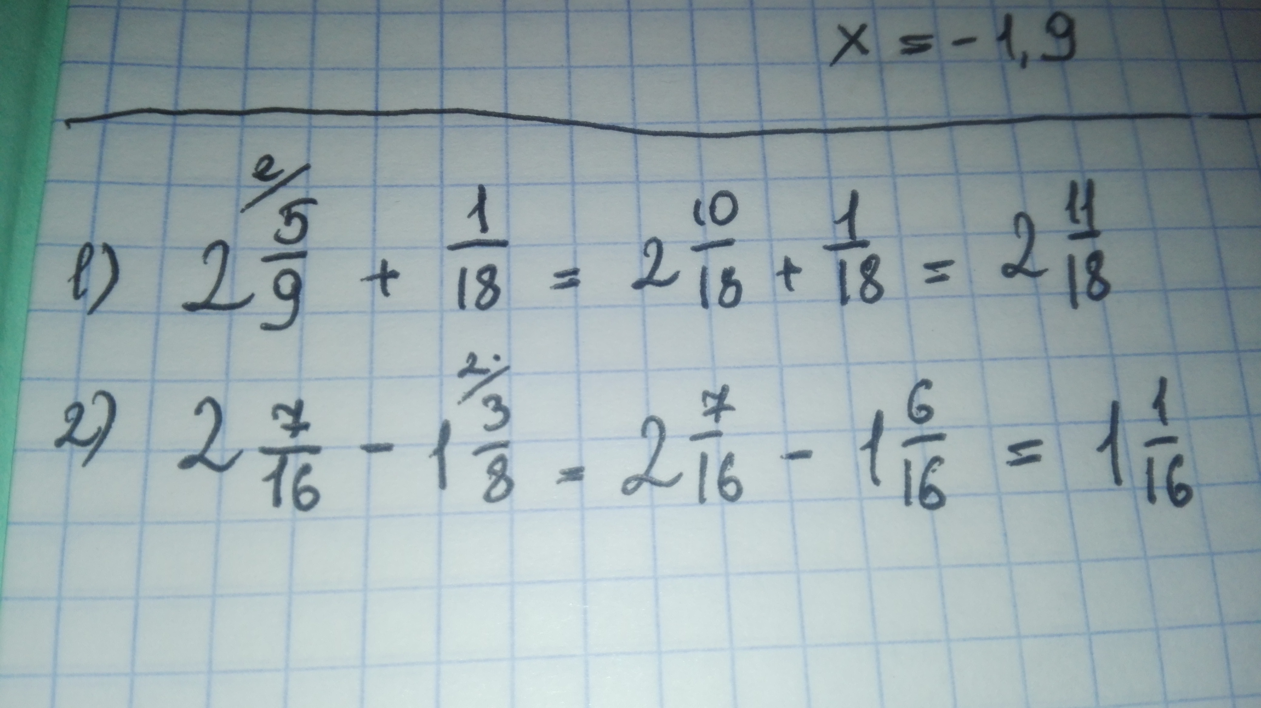
1)2 5/9+1/18=
=23/9+1/18=
=46/18+1/18=47/18= 2 11/18
2)2 7/16-1 3/8=
=39/16-11/8=
=39/16-22/16=17/16= 1 1/16
=23/9+1/18=
=46/18+1/18=47/18= 2 11/18
2)2 7/16-1 3/8=
=39/16-11/8=
=39/16-22/16=17/16= 1 1/16
Автор ответа:
1
Ответ на фото, писать тут лень
Приложения:
Похожие вопросы
Предмет: Другие предметы,
автор: vitalijpas403
Предмет: Математика,
автор: 131086
Предмет: Химия,
автор: sshamb2v
Предмет: Математика,
автор: tkalugina1008
Предмет: Литература,
автор: juliashader