Предмет: Математика,
автор: Илона2509
Помогите решить в эти примеры
Приложения:
Ответы
Автор ответа:
1
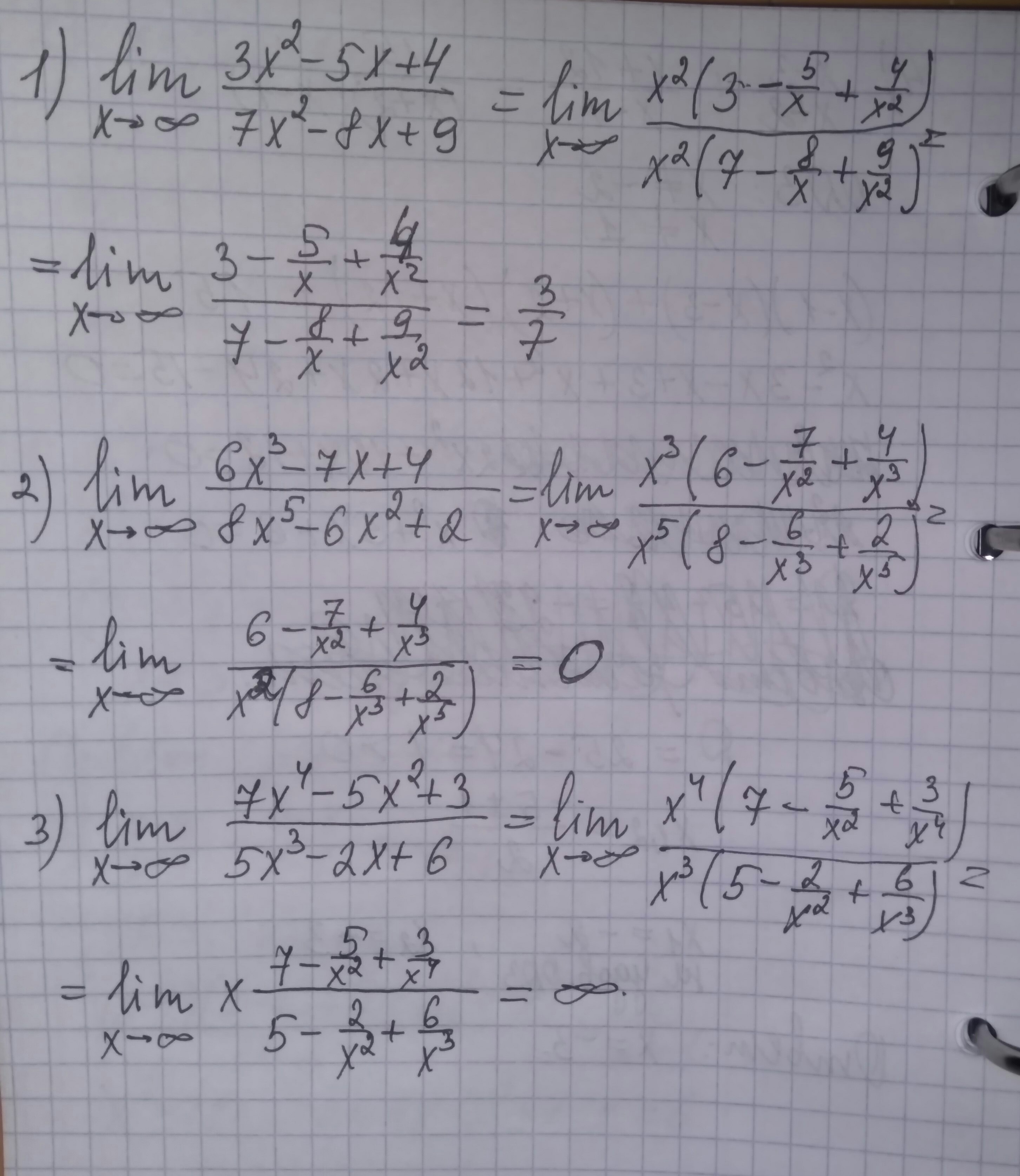
Вычисление всех пределов основано на том, что

при
при
Приложения:
Похожие вопросы
Предмет: Геометрия,
автор: sddsisk798
Предмет: Математика,
автор: kiraxxx616
Предмет: Литература,
автор: illyaosinchuk
Предмет: Математика,
автор: sindyakova123
Предмет: Английский язык,
автор: liza660515