Предмет: Алгебра,
автор: pashadudoff
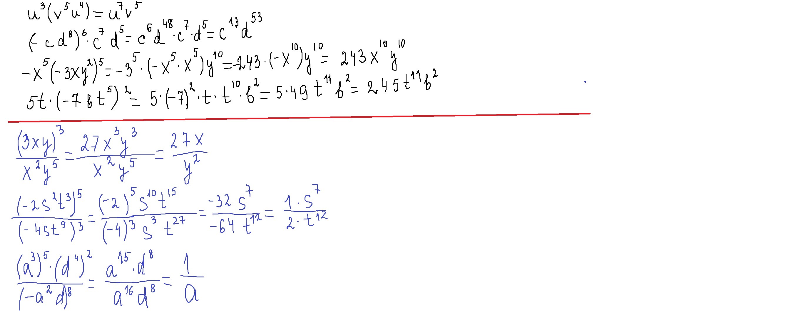
Алгебра 7 класс.
ПОЖАЛУЙСТА!
Приложения:
Ответы
Автор ответа:
0
при умножении степеней с одинаковым основанием показатели складываются,при делении-вычитаются,при возведении степени в степень-перемножаются.
Приложения:
Похожие вопросы
Предмет: Физика,
автор: dianabunny333
Предмет: Физика,
автор: gennadijkrupenkov
Предмет: Алгебра,
автор: mari040821
Предмет: Химия,
автор: xovifi2171
Предмет: Українська мова,
автор: oksanae3008