Предмет: Алгебра,
автор: dangel2016
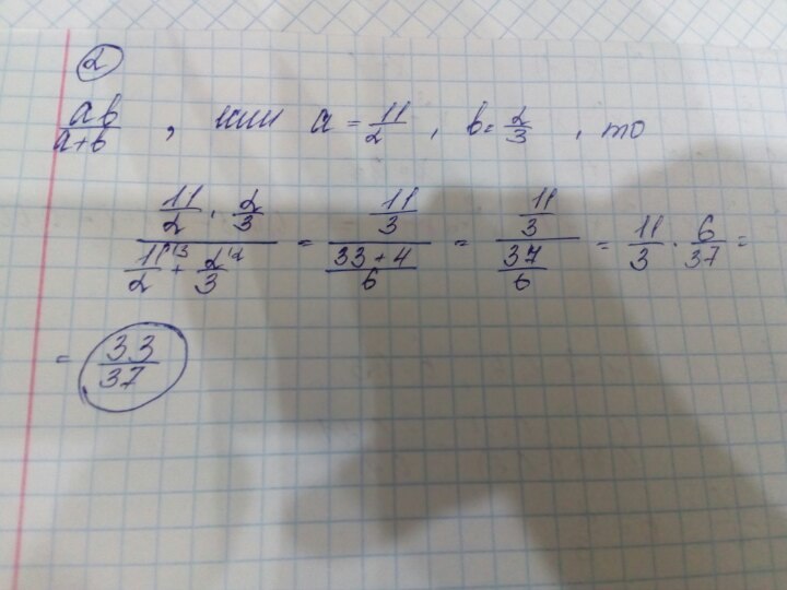
Найдите значение алгебраической дроби при заданных значениях переменных а) ab/a+b при a=0,7, b=-0,3; при a=1 1/2, b= 2/3
Ответы
Автор ответа:
0
1) 0,7×(-0,3)/0,7+(-0,3)=-0,21/0,4 = -0, 525
2) 33/37
2) 33/37
Приложения:
Похожие вопросы
Предмет: Информатика,
автор: aiskakov214
Предмет: Українська мова,
автор: sqw0
Предмет: Математика,
автор: zgurskaasofia09
Предмет: Право,
автор: PlayerTheMineToCraft