Предмет: Физика, автор: lizuzka

Задача по физике НА ТЕМУ РАВНОУСКОРЕННОЕ ДВИЖЕНИЕ
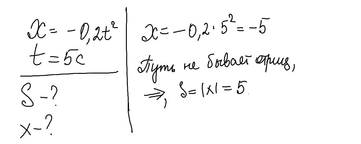
Дано:             
x=   -0,2t ^2      
t=5 с 
---------------------
S-?
X-?

Ответы

Автор ответа: babiysveta1997
0
здесь все подробно, все решение
Приложения:
Похожие вопросы
Предмет: История, автор: vasilic9rt55
ІЗ РЕЗОЛЮЦІЇ УКРАЇНСЬКОГО НАЦІОНАЛЬНОГО КОНГРЕСУ (З’ЇЗДУ)

З’їзд вважає, що тільки широка національно-територіальна автономія України забезпечить потреби нашого народу... Єдиною формою державного устрою з’їзд вважає федеративну й демократичну Республіку Російську.., одним з основних принципів української автономії — повне забезпечення прав національних меншин, які живуть в Україні.., визначає за Російськими Установчими зборами право санкції... автономії України, але прихильники нового ладу з меншими народностями України мають негайно творити підстави для її автономного життя... З’їзд вважає, що кордони між державами повинні бути встановлені згідно з волею пограничної людності.., протестує проти претензій на землі непольські, заявлені Тимчасовою Польською державною радою.., [доручає Центральній Раді] взяти ініціативу союзу тих народів Росії, які домагаються націо нально-територіаль ної автономії [і] подати конкретні домагання Тимчасовому уряду.., організувати комітет для вироблення проекту автономного статуту України, який має бути поданий на затвердження конгресові України...

Запитання до документа
1) Як у документі визначено шляхи розбудови державності україни?
2) Як у резолюції визначалося визначалося ставлення до прав національних меншин в Україні?