Предмет: Математика,
автор: milopolena
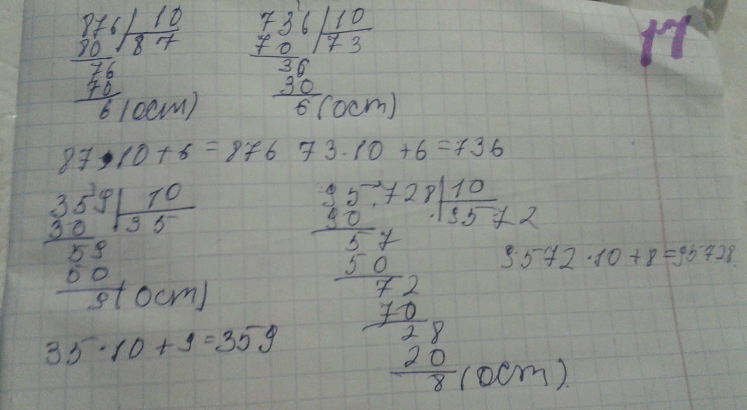
Выполните деление с остатком и сделайте проверку.
876 : 10, 736 : 10, 359 : 10, 95.728 : 10
Ответы
Автор ответа:
2
⤴⤴⤴⤴⤴⤴⤴⤴⤴⤴⤴⤴⤴⤴⤴⤴⤴⤴⤴⤴⤴⤴⤴⤴
Приложения:
Похожие вопросы
Предмет: Українська мова,
автор: bobr12345678910ka
Предмет: Математика,
автор: katerina2529
Предмет: Математика,
автор: vitalikadamchik
Предмет: Химия,
автор: bahriyortojiev
Предмет: Алгебра,
автор: zholdagaliev05