Предмет: Математика,
автор: NShmak
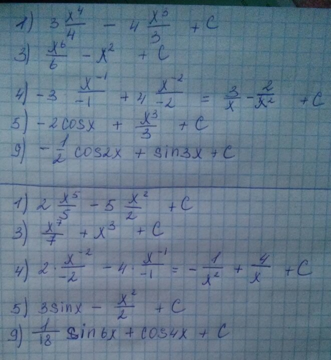
ПОЖАЛУЙСТА ПОМОГИТЕ С 1,3,4,5,9 заданиями в двух вариантах!
Приложения:
Ответы
Автор ответа:
2
работа с таблицей первообразных и не более...
Приложения:
yrggdyd:
Лена2012 я вас прошу пж помогите мне с этим https://znanija.com/task/27704957 даю 39 баллов!!!прошу очень надооо
Похожие вопросы
Предмет: Биология,
автор: hamster271568
Предмет: Українська література,
автор: chekal541
Предмет: Английский язык,
автор: ernurpazylhan
Предмет: История,
автор: redka1212
Предмет: Алгебра,
автор: tdzumadzuk