Предмет: Алгебра,
автор: Кариночка78
Помогите, пожалуйста, решить. Подробно.
Приложения:
Ответы
Автор ответа:
0
!!!!!!!!!!!!!!!!!!!!!!!!!
Приложения:
Автор ответа:
0
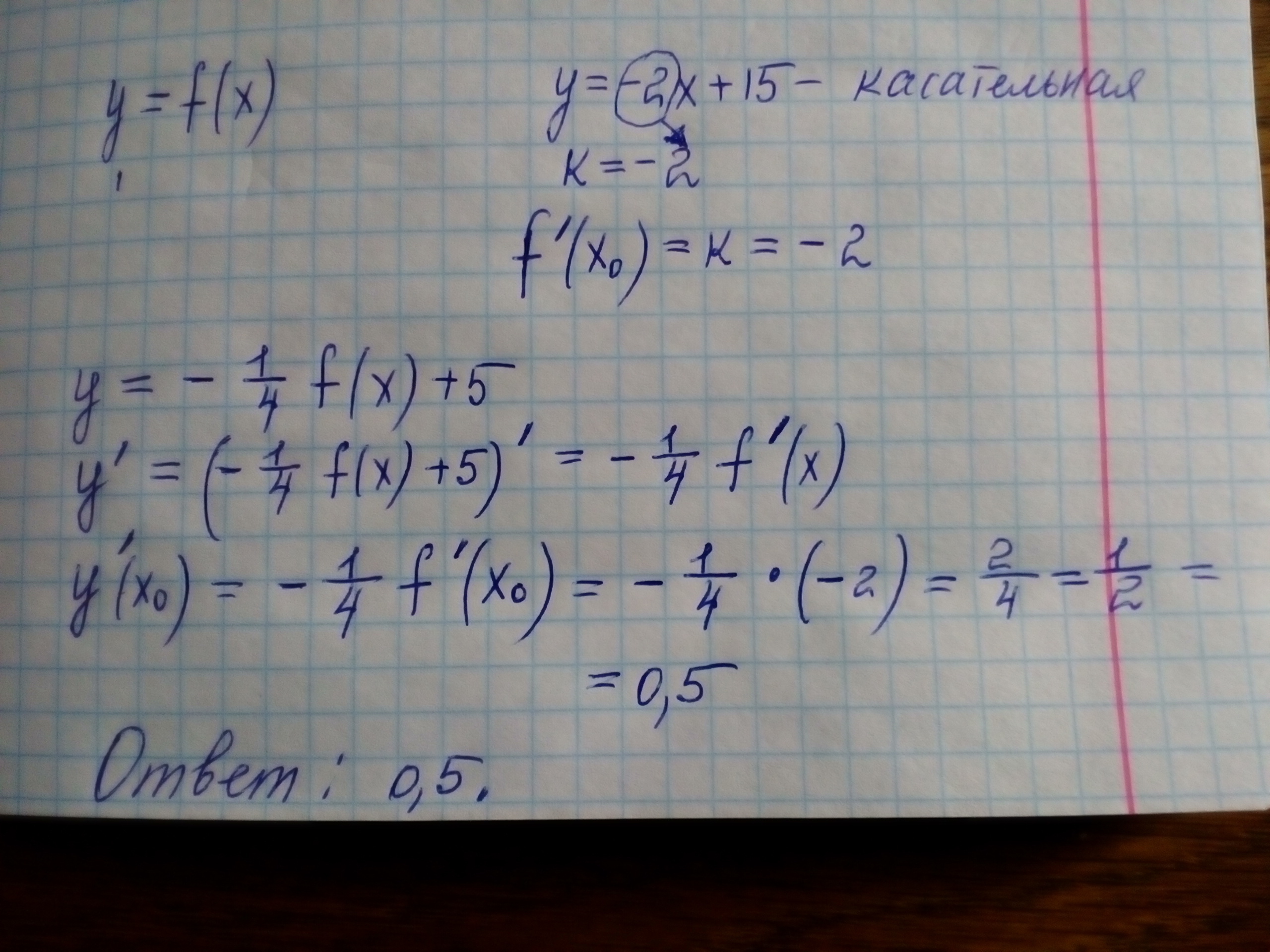
сначала нашли чему будет равна производная функции (второй), из уравнения касательной к графику эф(икс), в точке икс-нулевое, берем, что значение производной эф от икс в точке икс-нулевое равно -2; подставляем в найденное выражение для производной, и получаем искомую величину
Ответ: 0,5
Приложения:
Похожие вопросы
Предмет: История,
автор: pandayakek
Предмет: Химия,
автор: Xtoyatakoy
Предмет: Физика,
автор: MaximCheglakov
Предмет: Математика,
автор: aruzhanturlibaарукп