Предмет: Математика,
автор: Marcos2109
Помогите решить пожалуйста,любой пример.
Очень нужно
Приложения:
Ответы
Автор ответа:
0
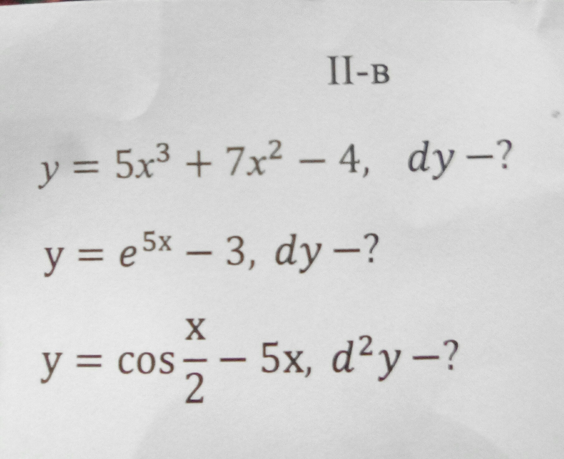
1) y = 5x^3 + 7x^2 - 4;
dy = y ' dx, где y ' - производная по x
y ' = 5*3*x^2 + 7*2*x - 0 = 15x^2 + 14x
dy = (15x^2 + 14x) dx
2) y = e^5x - 3
y ' = 5*e^5x - 0 = 5e^5x
dy = 5e^5x dx
3) d^2y = y '' d^2x, где y '' - вторая производная по x
y ' = (cos(x/2)) ' - (5x) ' = (1/2)*( - sin(x/2)) - 5
y ' ' = ((1/2)*( - sin(x/2))) - 0 = - (1/4)*cos(x/2)
d^2y = - (1/4)*cos(x/2) d^2x
dy = y ' dx, где y ' - производная по x
y ' = 5*3*x^2 + 7*2*x - 0 = 15x^2 + 14x
dy = (15x^2 + 14x) dx
2) y = e^5x - 3
y ' = 5*e^5x - 0 = 5e^5x
dy = 5e^5x dx
3) d^2y = y '' d^2x, где y '' - вторая производная по x
y ' = (cos(x/2)) ' - (5x) ' = (1/2)*( - sin(x/2)) - 5
y ' ' = ((1/2)*( - sin(x/2))) - 0 = - (1/4)*cos(x/2)
d^2y = - (1/4)*cos(x/2) d^2x
Похожие вопросы
Предмет: Математика,
автор: etdbihcm
Предмет: Математика,
автор: svetakaliningrag
Предмет: Физика,
автор: Ryabchenko80
Предмет: Математика,
автор: alikam69
Предмет: Математика,
автор: yulissa