Предмет: Алгебра,
автор: hjdndin
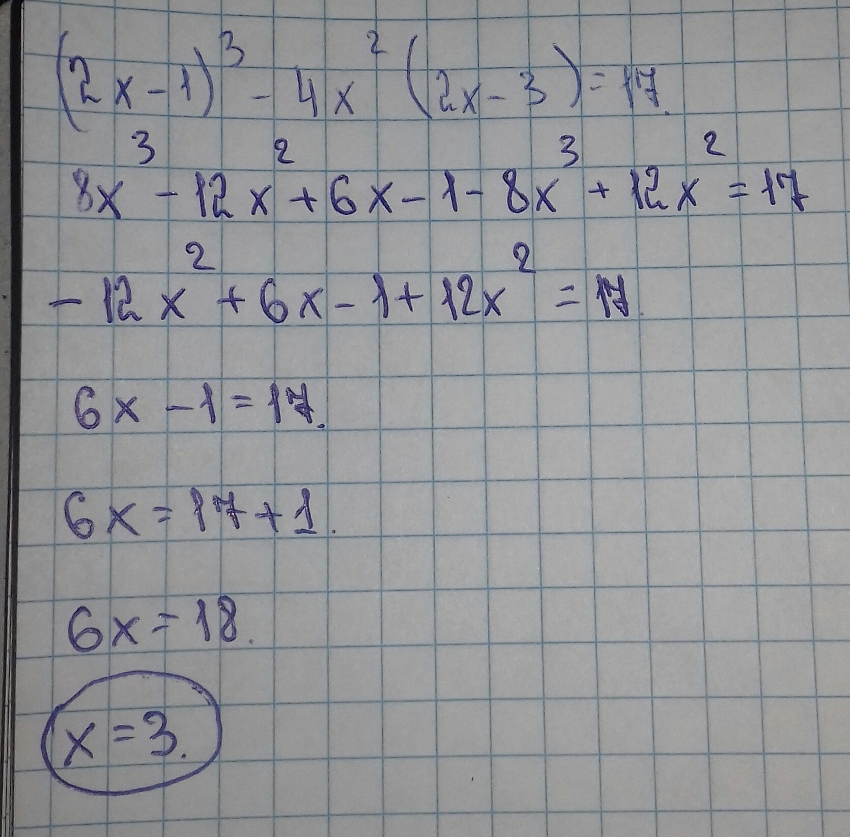
Решите уравнение
(2х-1)³-4х²(2х-3)=17
Ответы
Автор ответа:
0
надеюсь правильно решила
Приложения:
Похожие вопросы
Предмет: Русский язык,
автор: dorespesandvalentine
Предмет: Английский язык,
автор: lalela1jj
Предмет: Математика,
автор: puteanlive
Предмет: Алгебра,
автор: PaxaSobaka