Предмет: Алгебра,
автор: DHK0HUMAN
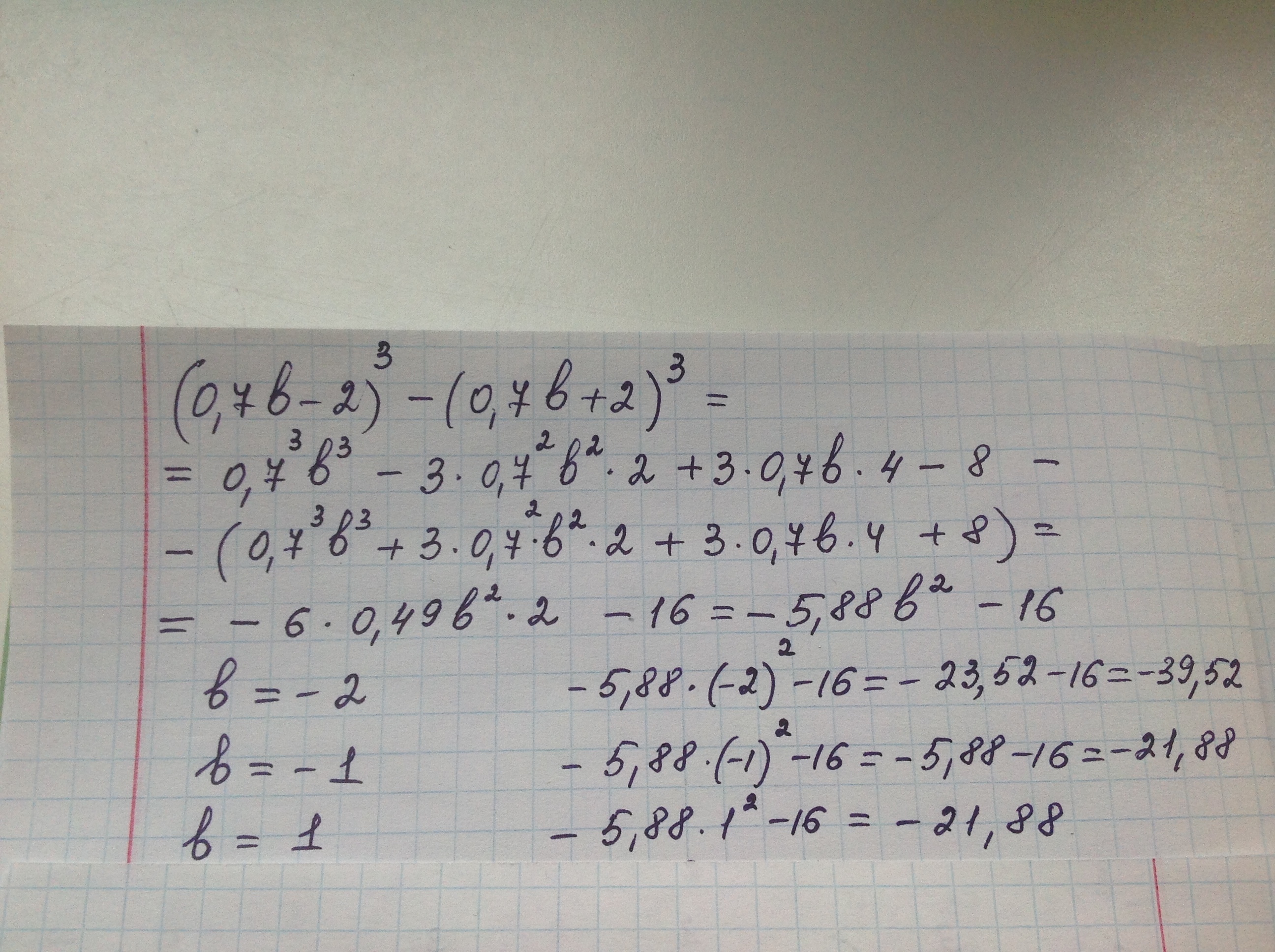
Помогите пожалуйста Упростите выражение
(0,7b-2)^3 - (0.7b+2)^3 при b= -2; -1; 1
(5х-4)^3+(5x-2)^3-250x^3 при х= 0,5; 0; -1
Ответы
Автор ответа:
0
Решение смотри на фото
Приложения:
Похожие вопросы
Предмет: География,
автор: whoisfubuki
Предмет: География,
автор: evelinaaavelina
Предмет: Алгебра,
автор: vika56kxnk
Предмет: Математика,
автор: Лера1985
Предмет: Математика,
автор: твоя100