Предмет: Алгебра, автор: Cool4girl

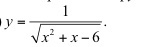
Найдите область определения функции:

Приложения:

Ответы

Автор ответа: Эксперт5
0
x^2+x-6 textgreater  0\\ left { {{x_1*x_2=-6} atop {x_1+x_2=-1}} right. = textgreater   left { {{x_1=2} atop {x_2=-3}} right. \\(x-2)(x+3) textgreater  0
            +                   -                        +
__________(-3)________(2)___________

x∈(-∞;-3)U(2;+∞) - область определения функции
Похожие вопросы
Предмет: Математика, автор: nastagovrilina59
Предмет: Математика, автор: Айсулу111111
Предмет: Математика, автор: Айсулу111111