Предмет: Алгебра,
автор: Ксюхахаха
Пожалуйста, помогите решить систему))))
Приложения:
Ответы
Автор ответа:
0
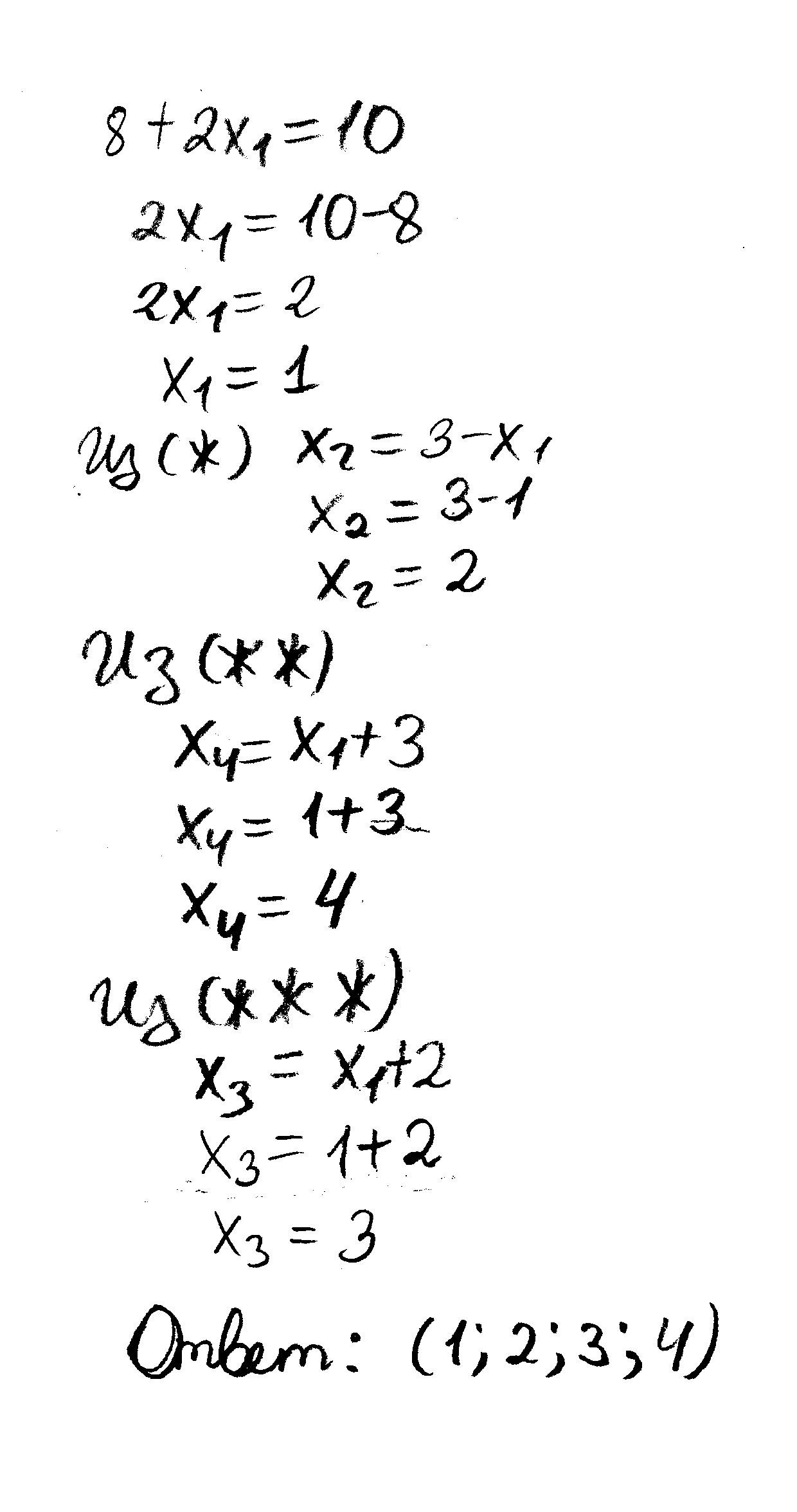
Решение в приложении.
Ответ: (1; 2; 3; 4).
Ответ: (1; 2; 3; 4).
Приложения:
Похожие вопросы
Предмет: Русский язык,
автор: bugaevadara930
Предмет: Математика,
автор: patikmatvey
Предмет: Геометрия,
автор: cocccc
Предмет: Математика,
автор: Аноним
Предмет: Математика,
автор: Аноним