Предмет: Алгебра,
автор: zvezdaliz
Выполнить действия.
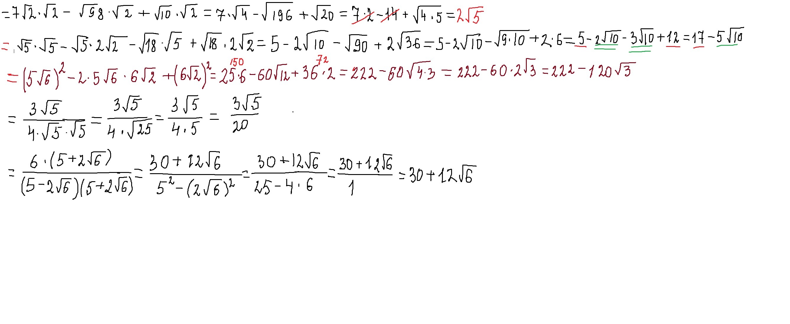
(7√2-√98+√10)*√2
Упростите.
(√5-√18)(√5-2√2)
Выполнить возведение в степень
(5√6-6√2)²
Освободитесь от иррациональности в знаменателе дроби
3
-------
4√5
Уберите корень из знаменателя
6
----------
5-2√6
Помогите пожалуйста!
Ответы
Автор ответа:
0
решение смотри внизу
Приложения:
Похожие вопросы
Предмет: Алгебра,
автор: hurupus0405
Предмет: Алгебра,
автор: nomogitecdomashkoi
Предмет: Литература,
автор: Аноним
Предмет: История,
автор: рппккпршк
Предмет: История,
автор: er7ianvalLenka