Предмет: Алгебра,
автор: галя266
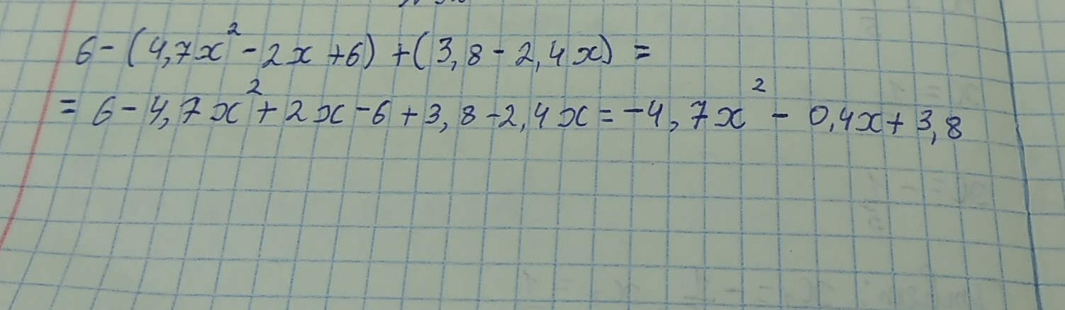
приведите в стандартный вид
Ответы
Автор ответа:
0
Решение на фото, не забудь поставить лайк, а так же сделать мой ответ - ЛУЧШИМ
Приложения:
Похожие вопросы
Предмет: Алгебра,
автор: daryyyynnnnn
Предмет: Математика,
автор: lo2009lo
Предмет: Химия,
автор: sinus348
Предмет: Математика,
автор: оля1483
Предмет: Алгебра,
автор: nastenka45175