Предмет: Алгебра,
автор: agnesaudal
Помогите со втором номером!!! Пожалуйста. 40 баллов
Приложения:
Ответы
Автор ответа:
0
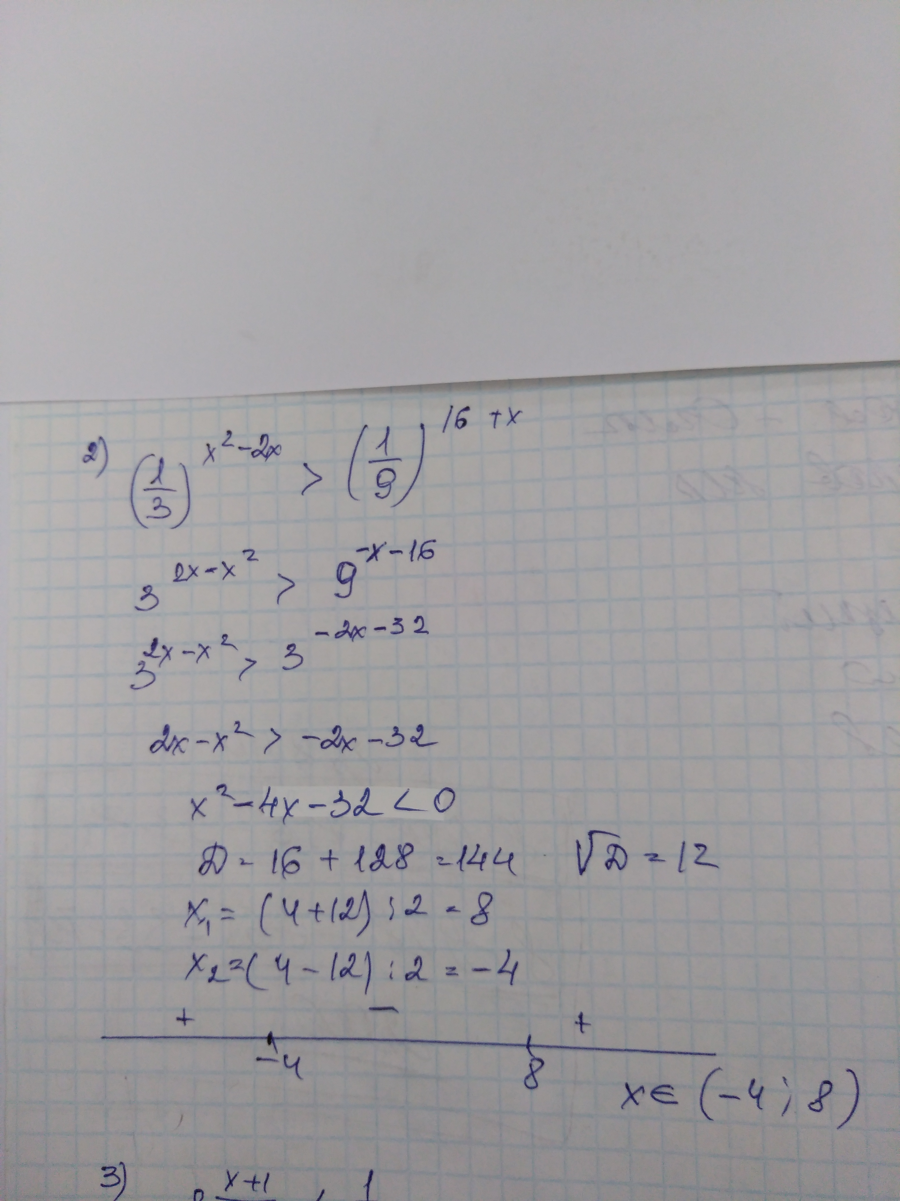
Вот решение номера 2 на фото
Приложения:
Автор ответа:
0
В приложении ...,....
Приложения:
Похожие вопросы
Предмет: Математика,
автор: bokonculena6
Предмет: Математика,
автор: vshechelova
Предмет: Литература,
автор: sasha3690
Предмет: Математика,
автор: arusiKloraFifa
Предмет: Математика,
автор: KsushaCat13