Предмет: Алгебра, автор: gramasha

Задание во вложении. Срочно. 20 баллов.

Приложения:

Ответы

Автор ответа: KvasikEdited
0
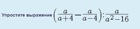
( frac{a}{a+4} - frac{a}{a-4} ):  frac{a}{a^2-16}
Приводим дробь в скобках к общему знаменателю:
 frac{a(a-4)-a(a+4)}{(a+4)(a-4)} :  frac{a}{a^2-16}
Раскрываем скобки:
 frac{a^2-4a-a^2-4a}{(a+4)(a-4)} :  frac{a}{a^2-16}
Приведём подобные члены, а также сократим a^{2} и -a^2:
 frac{-8a}{(a+4)(a-4)} :  frac{a}{a^2-16}
- frac{8a}{(a+4)(a-4)} *  frac{a^2-16}{a}
- frac{8a*a^2-16}{(a+4)(a-4)a}
- frac{8(a-4)(a+4)}{(a-4)(a+4)}
Скобки сокращаются и получается ответ.
Ответ: -8
Похожие вопросы
Предмет: Химия, автор: Аноним
Предмет: Алгебра, автор: nikitagravviti
Предмет: Математика, автор: angelinamr