Предмет: Химия,
автор: 1234567890йцуз
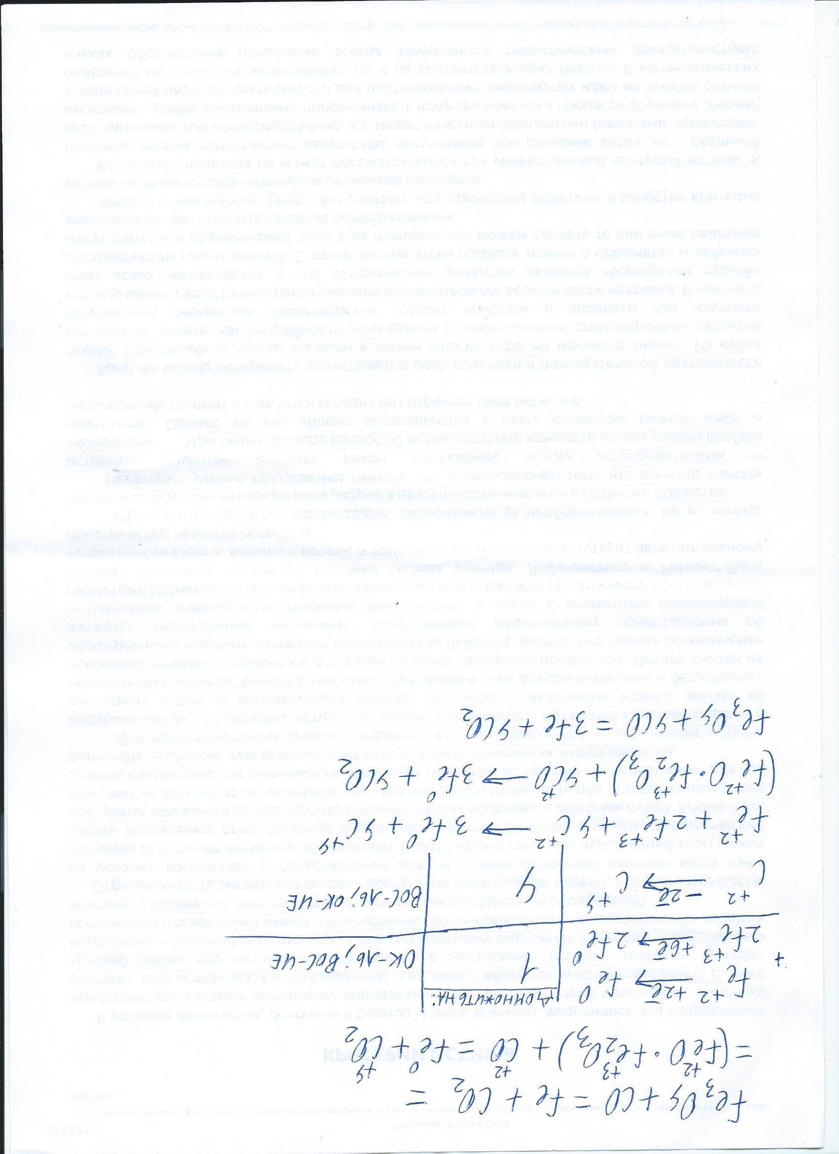
решите уравнение методом электронного баланса, даю много баллов.
Fe3O4+CO=Fe+CO2
Ответы
Автор ответа:
0
см. приложенный файл
Приложения:
Похожие вопросы
Предмет: Русский язык,
автор: mercimerci
Предмет: Химия,
автор: user248
Предмет: География,
автор: alexandrachirvatyuk
Предмет: Математика,
автор: мурка9
Предмет: Математика,
автор: Олег9995