Предмет: Физика,
автор: Docenko37
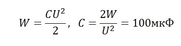
как определить емкость плоского конденсатора если его энергия равна 2 Дж при напряжении 200В
Ответы
Автор ответа:
0
Должно быть так, но что-то очень большая емкость получилась
Приложения:
Похожие вопросы
Предмет: Литература,
автор: arseniy2018ars
Предмет: Математика,
автор: mariaslobodcikova03
Предмет: Химия,
автор: yogurt2713
Предмет: Математика,
автор: BlackStarMafia11