Предмет: Алгебра,
автор: Inga1234567
математика 10 класс
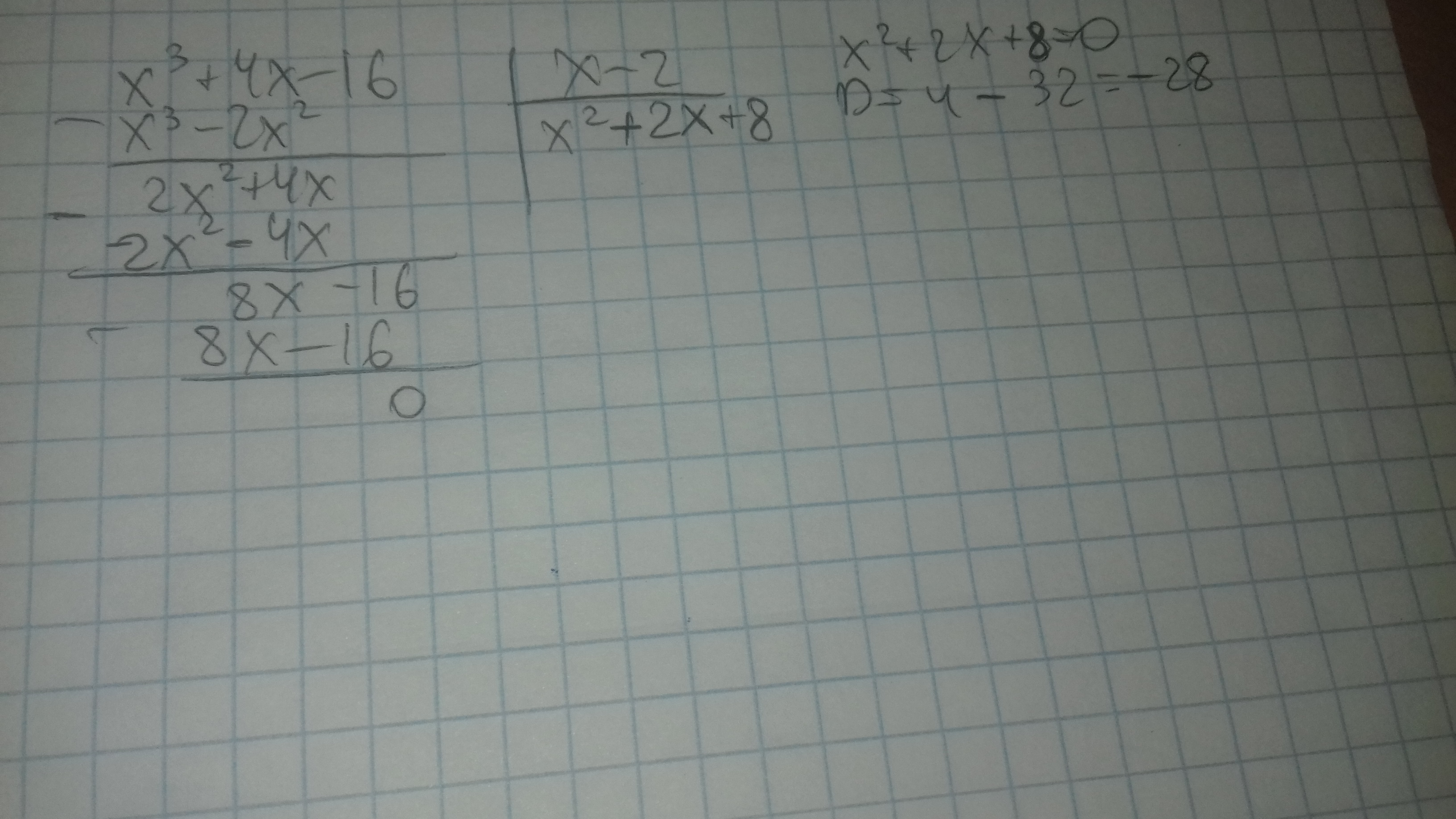
x^3+4x-16
Приложения:
Ответы
Автор ответа:
0
Решение в прикрепленном фото
Приложения:
Похожие вопросы
Предмет: Русский язык,
автор: abdumazhitivar
Предмет: Алгебра,
автор: sasaratnikov207
Предмет: Математика,
автор: denmandrykin95
Предмет: Математика,
автор: kainat
Предмет: Обществознание,
автор: Косеночек