Предмет: Алгебра,
автор: Blog12493
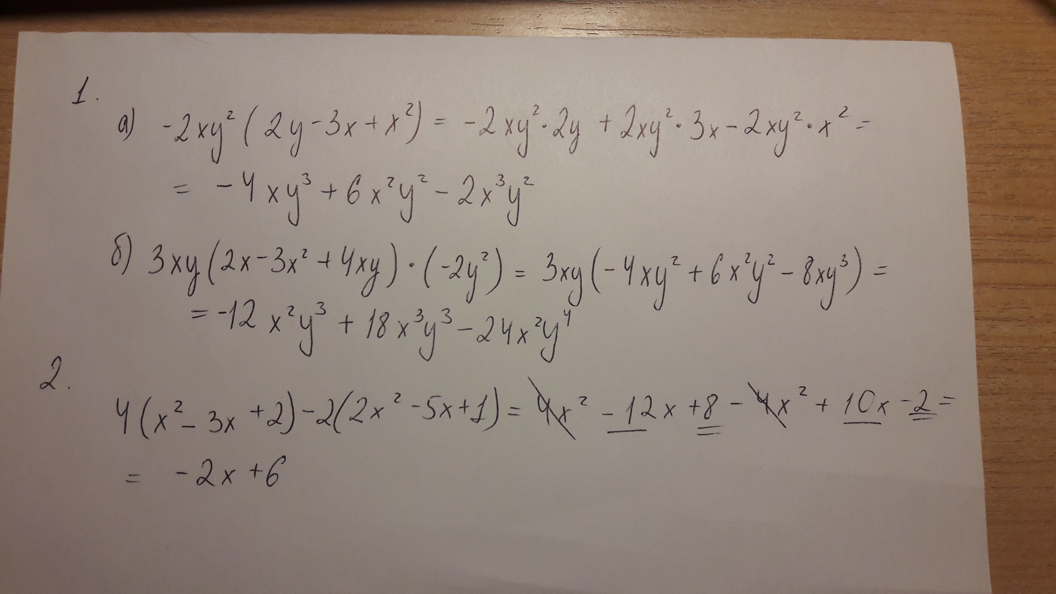
Помогите решить срочно!!! 1.а)-2ху^2(2у-3х+х^2).б)3ху(2х-3х^2+4ху)*(-2у^2) 2.4(х^2-3х+2)-2(2х^2-5х+1)
Ответы
Автор ответа:
0
Вот решение. Желаю удачи =)
Приложения:
Похожие вопросы
Предмет: Биология,
автор: likeetiktokplankton
Предмет: Физика,
автор: nikadoneckaa48
Предмет: Алгебра,
автор: Аноним
Предмет: Математика,
автор: пик50