Предмет: Алгебра,
автор: Vlados7890
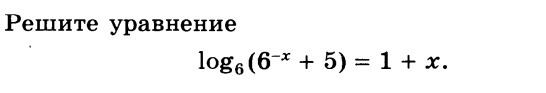
Решите уравнение!!!! Пожалуйста, очень срочно!
Приложения:
Ответы
Автор ответа:
0
Путем подбора: х=0. Других решений нет, так как функция соответствующая этому уравнению, монотонна.
Ответ: х = 0
Автор ответа:
0
По можно поподробнее, пожалуйста.
Автор ответа:
0
Если не знаете теорему эту, тогда путем замены 6^x=t делайте замену
Автор ответа:
0
Благодарю
Похожие вопросы
Предмет: Қазақ тiлi,
автор: rahimovalaura09
Предмет: Русский язык,
автор: tyuoog
Предмет: Математика,
автор: lysenkodima889
Предмет: Математика,
автор: paschabelogolo