Предмет: Математика,
автор: Багланов
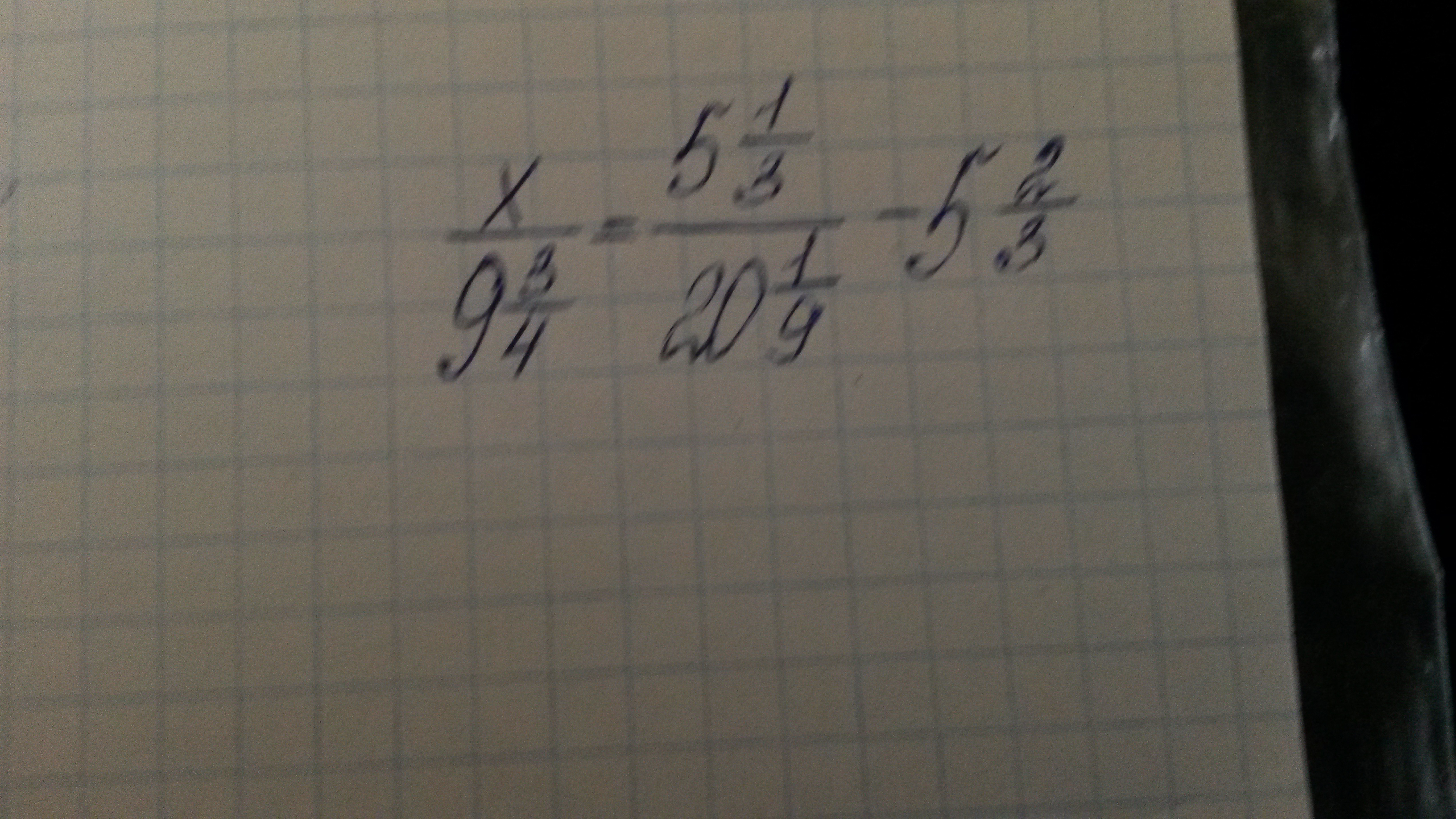
Помогите плиз!!!!!!Срочно!!!!!!
Приложения:
Ответы
Автор ответа:
0
x=-279/16
альтернативный вид..
x=-17целых7/6,х=-17.4375
Все
альтернативный вид..
x=-17целых7/6,х=-17.4375
Все
Похожие вопросы
Предмет: Математика,
автор: 987665432123
Предмет: История,
автор: stas85632
Предмет: Биология,
автор: alievanarmin644
Предмет: Математика,
автор: evysik2005
Предмет: Математика,
автор: anastasiya126