Предмет: Математика,
автор: 754893755
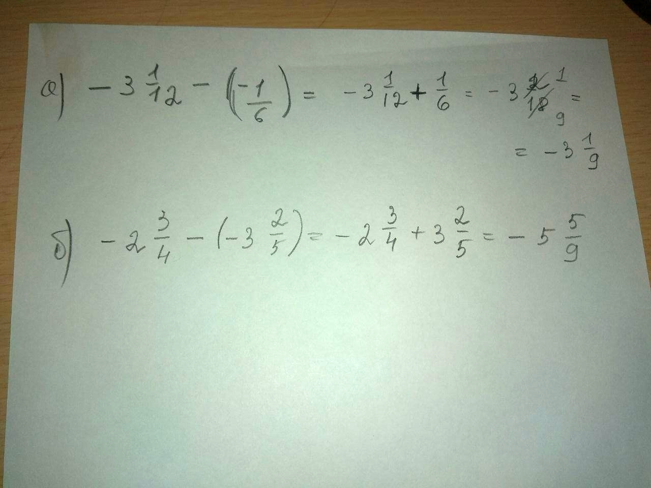
помогите, пожалуйста а)-3 целые 1/12-(-1/6)
б)-2 целые 3/4-(-3 целые 2/5)
пожалуйста, решите примеры и напишите, пожалуйстааааааа
Ответы
Автор ответа:
0
а) -3ц 1/12 + 1/6 = 3ц1/9
б) -2ц3/4+3ц2/5 = 5ц5/9
б) -2ц3/4+3ц2/5 = 5ц5/9
Приложения:
Автор ответа:
0
а почему знаменатель 9?
Автор ответа:
0
см фото
Автор ответа:
0
потому что сокращаем числитель и знаменатель, 2/18 = 1/9
Похожие вопросы
Предмет: Русский язык,
автор: Аноним
Предмет: Математика,
автор: angelinahudz459
Предмет: Физика,
автор: sashanazarov221105
Предмет: Математика,
автор: sheremetira
Предмет: Литература,
автор: Nastushkaaaaaaa