Предмет: Алгебра,
автор: Komandante777
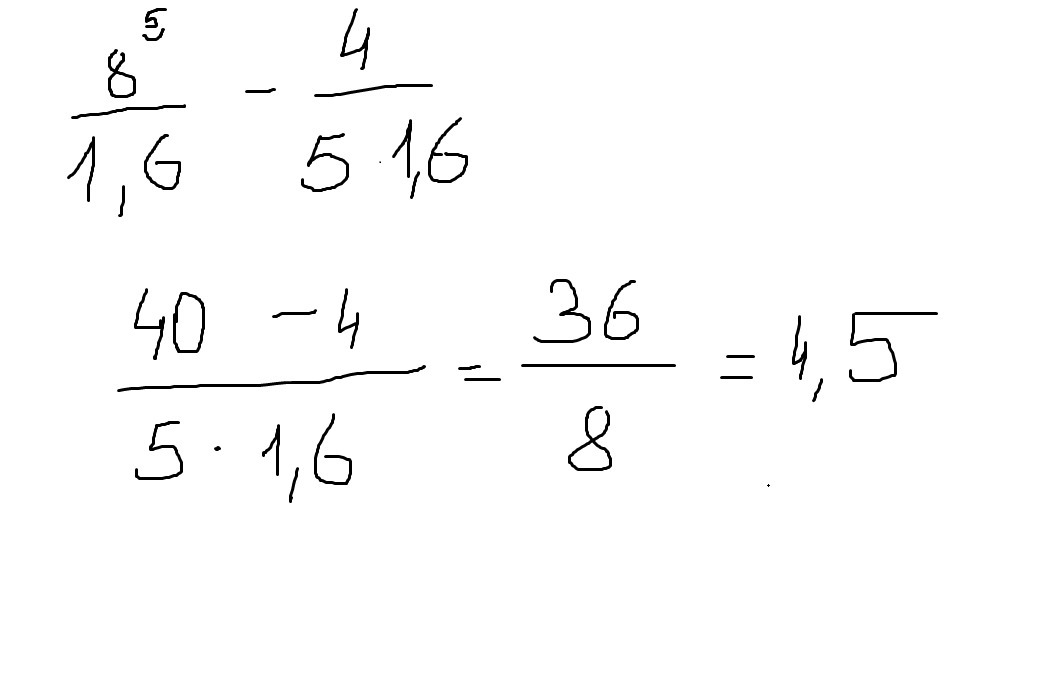
Найдите значение выражения
8/х - 4/5х при х=1.6
(Номер 12)
И желательно с объяснениями
Приложения:
Ответы
Автор ответа:
0
!!!!!!!!!!!!!!!!!!!!!!!!!!!!!!!!!!!!!!!!!!!!
Приложения:
Похожие вопросы
Предмет: Геометрия,
автор: sonailaravna
Предмет: Литература,
автор: polina392738
Предмет: Русский язык,
автор: Аноним
Предмет: Алгебра,
автор: футболистszik