Предмет: Математика,
автор: Сашок200611
помогите пожалуйсто решить
Приложения:
Ответы
Автор ответа:
0
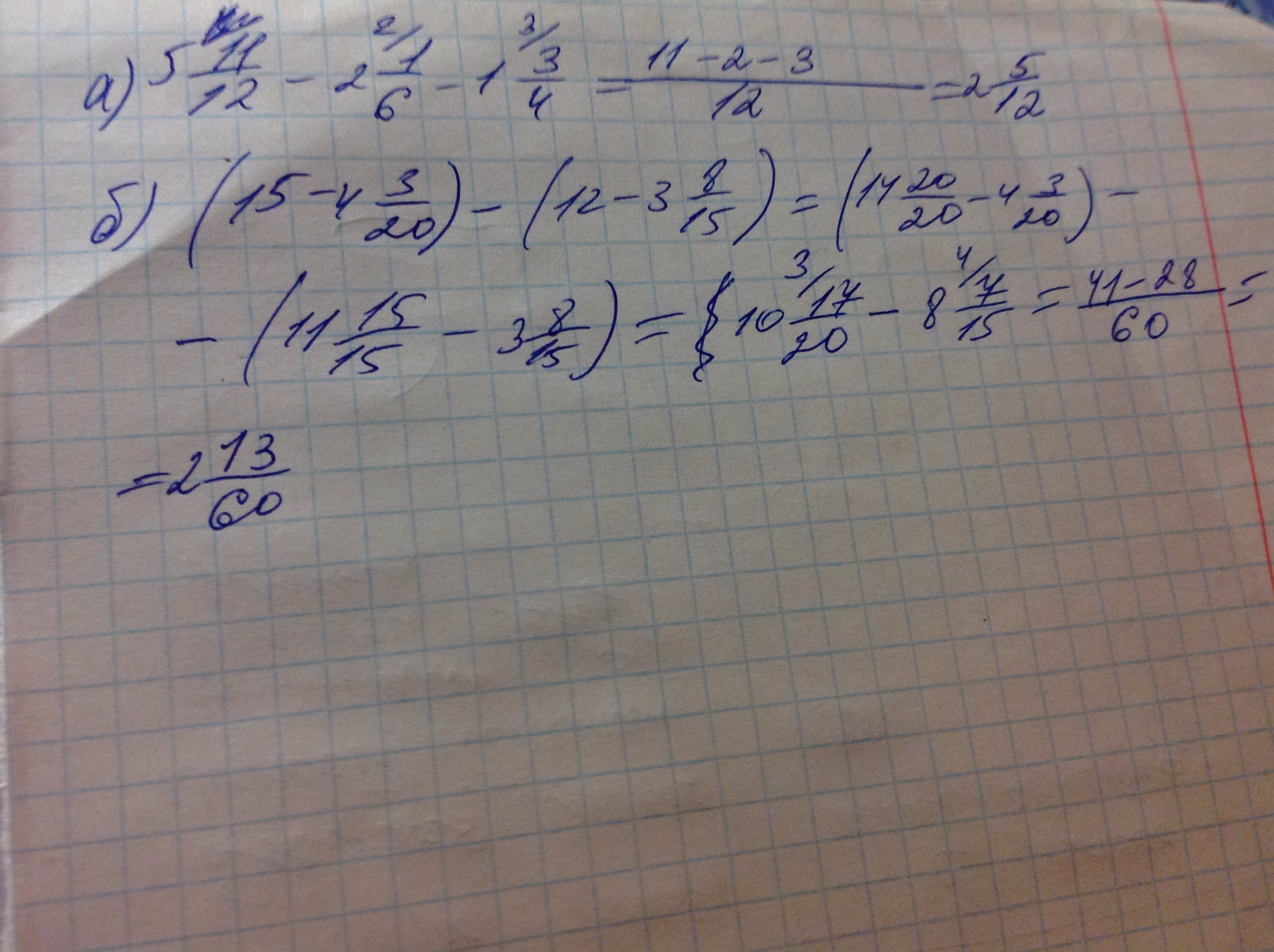
Смотри фото
Целые числа вынимала сразу в конце, а вообще лучше писать это в начале
Целые числа вынимала сразу в конце, а вообще лучше писать это в начале
Приложения:
Автор ответа:
0
у тебя не правильно а)
Автор ответа:
0
Ох да 3 на 3 забыла умножить
Автор ответа:
0
там надо было сначала дробь заделать неправильным
Автор ответа:
0
Приложения:
Похожие вопросы
Предмет: Литература,
автор: gulzanatiskinirov
Предмет: Математика,
автор: SpekoPro
Предмет: Литература,
автор: makakaterrorist2012
Предмет: Математика,
автор: бро1987
Предмет: Биология,
автор: fisachip133031