Предмет: Алгебра, автор: Иванов369

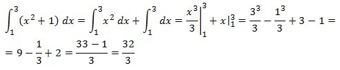
Вычислите интеграл  intlimits^3_1 ({x^2+1)} , dx

Ответы

Автор ответа: Аноним
0
 intlimits^3_1 {(x^2+1)} , dx = frac{x^3}{3}+xmid^3_1= frac{3^3}{3}+3-( frac{1}{3}+1)=9+3- frac{4}{3}    =12- frac{4}{3} = frac{32}{3}
Автор ответа: novo51
0
Решение в приложении
Приложения:
Похожие вопросы
Предмет: Химия, автор: 9004162