Предмет: Математика,
автор: galinskiymihail
помогите пожалуйста (картинка)
Приложения:
Ответы
Автор ответа:
0
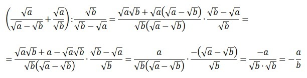
Решение в приложении
Приложения:
Похожие вопросы
Предмет: Русский язык,
автор: bravl55stars1234
Предмет: Алгебра,
автор: shavoydayv
Предмет: Математика,
автор: sasha56512
Предмет: Математика,
автор: CyXaPuk111