Предмет: Информатика,
автор: анюташабалинаанюта
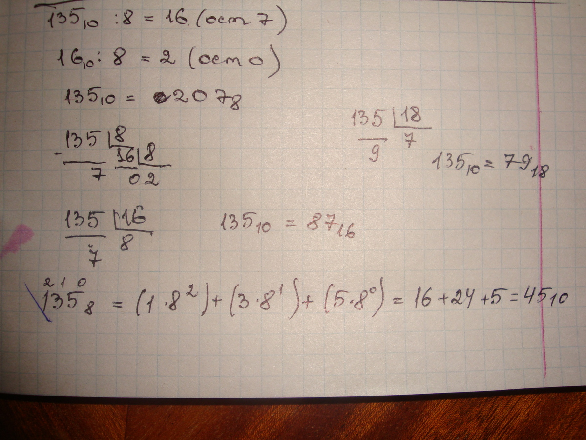
135-10ричных в 18ричные и 16ричные
135-8ичных в 10ричные
помогите пожалуйста все прослушала(ни чо не поняла(
Ответы
Автор ответа:
0
135 *8*=1*8(2)+3*8(1)+5*8(0)=64+24+5=93 *10* (В скобках степень)
Автор ответа:
0
http://www.kakprosto.ru/kak-14776-kak-perevesti-chislo-iz-desyatichnoy-sistemy
Автор ответа:
0
одно и тоже прислал
Автор ответа:
0
тут тоже все понятно http://vestikinc.narod.ru/AB/oct_dec_tr.htm
Автор ответа:
0
Решениеееееееееееееееееееееееееееееееееееееееееееееееее
Приложения:
Автор ответа:
0
кто в физике разбирается?
Автор ответа:
0
http://znanija.com/task/2751887 помогите)
Похожие вопросы
Предмет: Алгебра,
автор: zerkazerka
Предмет: Другие предметы,
автор: Arinan11
Предмет: Химия,
автор: vladukgrut
Предмет: Геометрия,
автор: RedBaron