Предмет: Алгебра,
автор: 607
Как здесь X и Y нашли?
Пожалуйста, напишите решение только того как нашли X и Y
Приложения:
Ответы
Автор ответа:
0
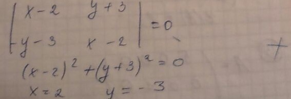
Так как квадрат числа есть число неотрицательное, то единственная возможность получить сумму квадратов, равную нулю, - приравнять к нулю оба слагаемых, то есть:
(х - 2)² + (у + 3)² = 0
х - 2 = 0 у + 3 = 0
х = 2 у = -3
(х - 2)² + (у + 3)² = 0
х - 2 = 0 у + 3 = 0
х = 2 у = -3
Автор ответа:
0
Большое спасибо за нормальный ответ. А то некоторые веселиться пришли сюда
Автор ответа:
0
Да не за что..)) Обращайтесь.
Похожие вопросы
Предмет: Математика,
автор: karinakarasuk6
Предмет: Английский язык,
автор: robiaraimzonova81
Предмет: Математика,
автор: drebutvitalia
Предмет: Геометрия,
автор: opl47392
Предмет: Геометрия,
автор: dashka2282