Предмет: Алгебра,
автор: Ember00
Помогите с интегралами пожалуйста!
Приложения:
Ответы
Автор ответа:
0
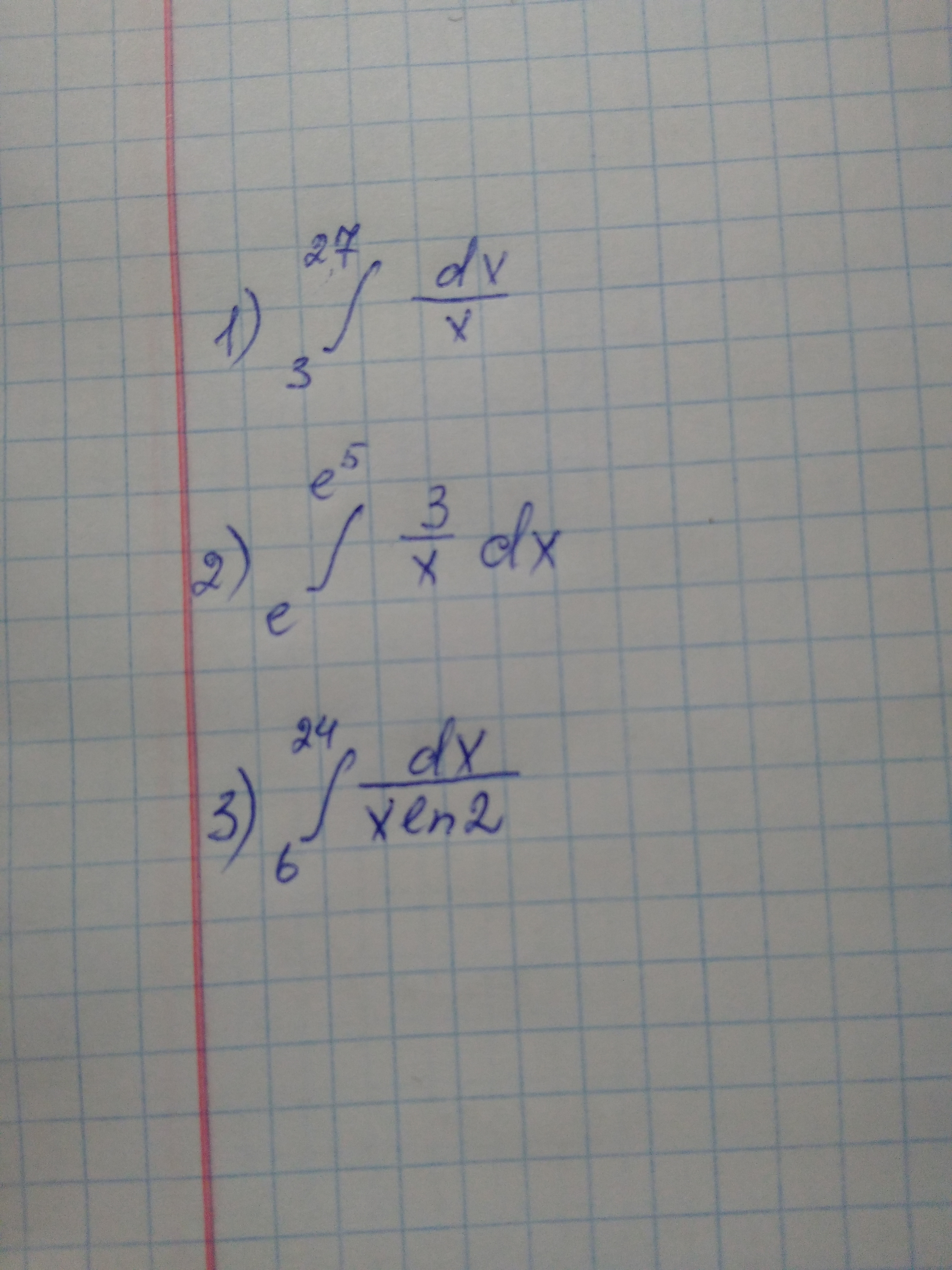
1)=㏑(х) QQQ= ㏑27-㏑3=㏑9;
2)= 3㏑(х) QQQ=3*(㏑е^5-㏑е)=3(5-1)=3*4=12;
3)=㏒2 (х) QQQ=㏒2 (24)-㏒2(6)=㏒2(4)=2.
Только не забудьте поставить соответственные границы везде, где стоит QQQ!!!!
2)= 3㏑(х) QQQ=3*(㏑е^5-㏑е)=3(5-1)=3*4=12;
3)=㏒2 (х) QQQ=㏒2 (24)-㏒2(6)=㏒2(4)=2.
Только не забудьте поставить соответственные границы везде, где стоит QQQ!!!!
Похожие вопросы
Предмет: Экономика,
автор: Sterva777
Предмет: Геометрия,
автор: sofiasmondenko
Предмет: Математика,
автор: hlebyshekc
Предмет: Математика,
автор: lizapavlova201
Предмет: Математика,
автор: Yana1155