Предмет: Алгебра,
автор: ludmilushkamur
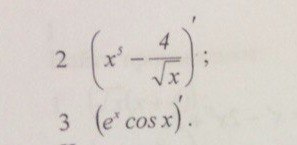
Найти производную!
Пожалуйста!
Приложения:
Ответы
Автор ответа:
0
Использовать таблицу призводных
Приложения:
Похожие вопросы
Предмет: Литература,
автор: sanea20052
Предмет: Математика,
автор: svveee
Предмет: География,
автор: Аноним
Предмет: Математика,
автор: Аноним