Предмет: Математика,
автор: алишd
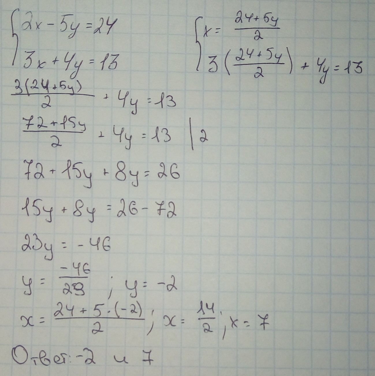
{2х-5у=24
{3х+4у=13
решите пожалуйста
Ответы
Автор ответа:
0
[Решение в приложении]
Приложения:
Автор ответа:
0
ой,прости
Автор ответа:
0
я рассчитал тот случай когда у=2
Автор ответа:
0
))
Автор ответа:
0
я делал по тесту
Автор ответа:
0
там такого ответане было
Похожие вопросы
Предмет: Алгебра,
автор: Kerbenevap
Предмет: Русский язык,
автор: ooo000o0o0
Предмет: Русский язык,
автор: Аноним
Предмет: Математика,
автор: карина5553