Предмет: Алгебра,
автор: 1Скотопёс1
Объясните как решить.
Приложения:
Ответы
Автор ответа:
0
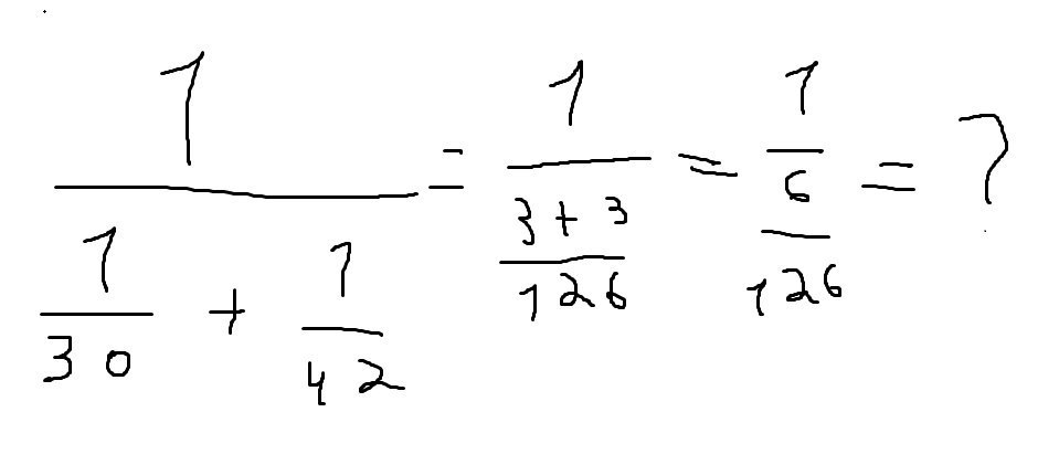
окончательный ответ-17.5
Приложения:
Похожие вопросы
Предмет: Математика,
автор: nkovalenko012
Предмет: Химия,
автор: julia0506zinchenko
Предмет: Математика,
автор: nikaleontevav2005
Предмет: Математика,
автор: Elina1211
Предмет: Математика,
автор: Аноним