Предмет: Алгебра,
автор: zarubaveronik
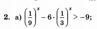
Решите, пожалуйста, показательное неравенство.
Приложения:
Ответы
Автор ответа:
0
Степень, знать формулы хорошо бы
Приложения:
Похожие вопросы
Предмет: Русский язык,
автор: volodkin20100812
Предмет: Українська мова,
автор: illapilipko
Предмет: История,
автор: polixxww
Предмет: Алгебра,
автор: хакер38
Предмет: Музыка,
автор: nalavrikova