Предмет: Другие предметы,
автор: pedr1337
электротехника.
3задание
Приложения:
Ответы
Автор ответа:
0
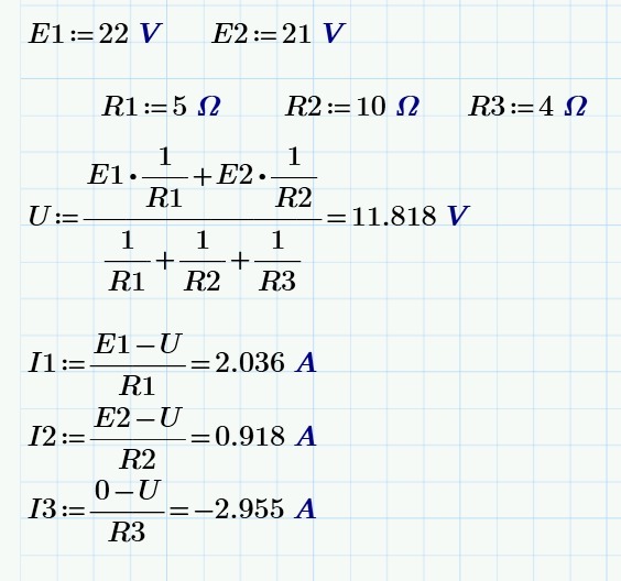
При условии, что все источники ЭДС направлены к одному и тому же узлу
Приложения:
Похожие вопросы
Предмет: Английский язык,
автор: exProduct
Предмет: Алгебра,
автор: Perfect768
Предмет: Английский язык,
автор: gabilova31
Предмет: Другие предметы,
автор: vitaminka23122007
Предмет: Алгебра,
автор: sedovvladimir70