Предмет: Математика, автор: Mash111122

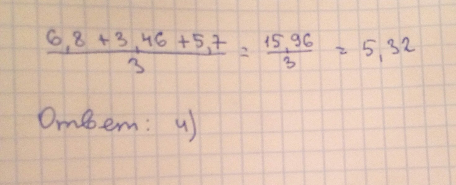
Помогите пожалуйста - среднее арифметическое число 6,8 ; 3,46 и 5,7 равно :
1)7,98
2)6,25
3)5,36
4)5,32

Ответы

Автор ответа: ЯгодкаЯлесная
0
фоточка тебе в помощь ;)
Приложения:
Похожие вопросы
Предмет: Алгебра, автор: Аноним
Предмет: Русский язык, автор: читер007
Расставить знаки препинания.Срочно пж
1) Москва ст...лица нашей Родины с любовью воспета в стихах великих русских поэтов.
2) Волга великая русская река прот...нулась на тысячи километров.
3) Псёл тихая русская река б...рёт своё начало на Белгородчине а впада...т в Днепр на Украине.
4) Белгород город первого салюта успешно развива...тся по всем ключевым направлениям экономики.
5) Писатель мастер слова раскрыва...т читателям б...гатство и красоту родного языка.
6) На берегу этого залива обосновались чайки уд...вительные морские птицы.
7) У порога дома нас встретила серая пушистая кошка любим...ца семьи.
8) Ёж маленький к...лючий зверёк пос...лился у нас в саду.
9) Эти ребята классные лётчики нашей эскадрильи совершили более двадцати боевых вылетов и сбили (не)сколько вражеских самолётов.
10) Мой брат студент третьего курса ун...верситета успешно сдал экзамены.
11) Дрозд ра...яя перелётная птица появля...тся в конце марта или в начале апреля.
12) Мы студенты третьего курса пр...ступили к сдаче летней сес...ии.
13) Они выпускники прошлых лет собрались у школы на первую свою встречу.
15) Я ваш стари...ый кум и сват пришёл мир...ться к вам.(И.К.)
16) Она весёлая жизн...радостная девушка была всегда окруже...а друзьями и приятелями.
17) Вас наших старых друзей пр...глашаем на рождественские праздники.
18) К нему лучшему студенту нашей гру...ы можно было обрати...ся за помощью с любым вопросом.
19) «Ревизор» бе...мертная комедия Н.В.Гоголя (по)прежнему актуальна и в наше время.
20) «Родина» наша райо...ая газета опубликовала лу...шие школьные сочинения посв...щё...ые родному краю.
21) Я читаю «Юный натуралист» самый инт...ресный журнал о природе для детей и их родителей.
22)( Не)вдалеке от речки стоят деревья великаны.
23) И пели девочки подростки на берегу родной реки.
24) Спортсмены школы победители соревнований были награжде...ы поч...тными грамотами.
25) Ваня Петров лучший шахматист школы ед...т на облас...ные сор...внования.
26) На груше самом лу...шем дереве моего сада больше всего фруктов в этом году.
27 )Могучий лев гроза лесов л...шился силы.
28)Хозяин мой доктор был вечно занят.