Предмет: Математика,
автор: katyaufa99
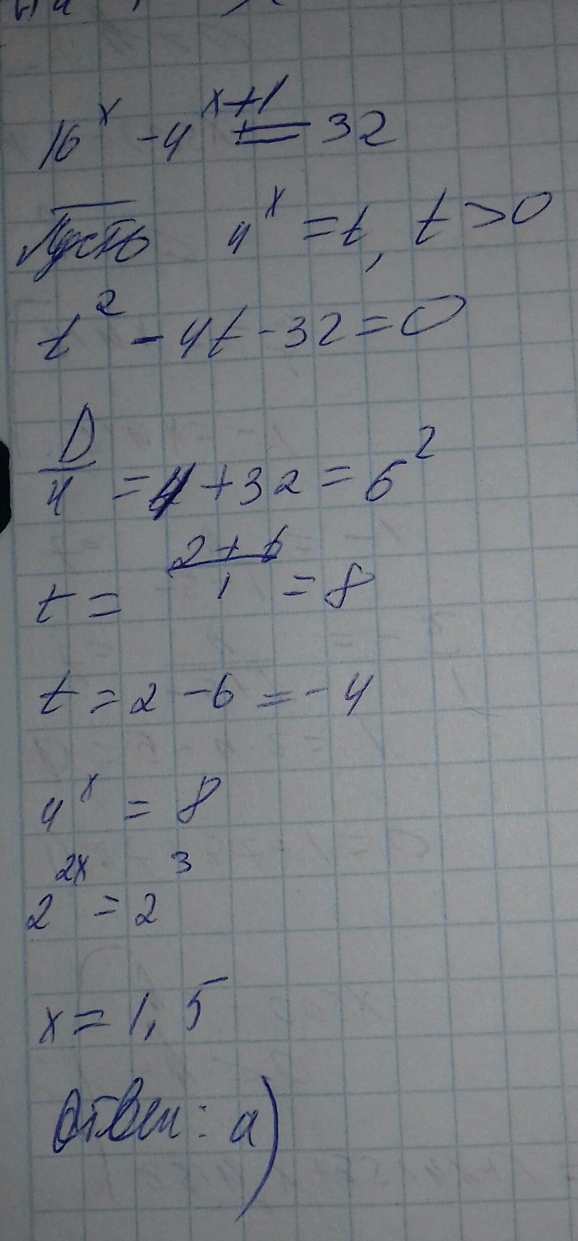
Решите пожалуйста полностью
Приложения:
Ответы
Автор ответа:
0
если есть вопросы пиши
Приложения:
Автор ответа:
0
как тебя можно найти в контакте, а то тут не удобно спрашивать
Автор ответа:
0
по поводу математике
Автор ответа:
0
здесь пиши. у меня нет странички
Автор ответа:
0
реши тогда какие можешь, пожалуйста, за сегодня которые я выложила задания, я обещаю отмечу что самый "лучший ответ" твой
Похожие вопросы
Предмет: Математика,
автор: krashihakrash7
Предмет: Английский язык,
автор: Аноним
Предмет: География,
автор: zlata0212
Предмет: Математика,
автор: крутын
Предмет: Математика,
автор: КАПУСТНАЯ