Предмет: Химия,
автор: Tlbkvna
Помогите пожалуйста срочно задание 2
Приложения:
Ответы
Автор ответа:
0
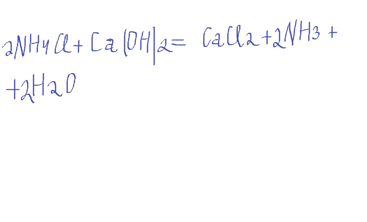
Две реакции -- на картинках. В первой реакции поставь над знаком равно значок температуры (t°C), а то я забыл )).
Приложения:
Автор ответа:
0
Спасибо!❤️
Похожие вопросы
Предмет: Биология,
автор: kirilovatetana374
Предмет: Другие предметы,
автор: andrtoid78
Предмет: Английский язык,
автор: TinaSolomonyuk2021
Предмет: Литература,
автор: BlackLiz
Предмет: Математика,
автор: nadyadnep