Предмет: Алгебра,
автор: matveychuk100
Ответы
Автор ответа:
0
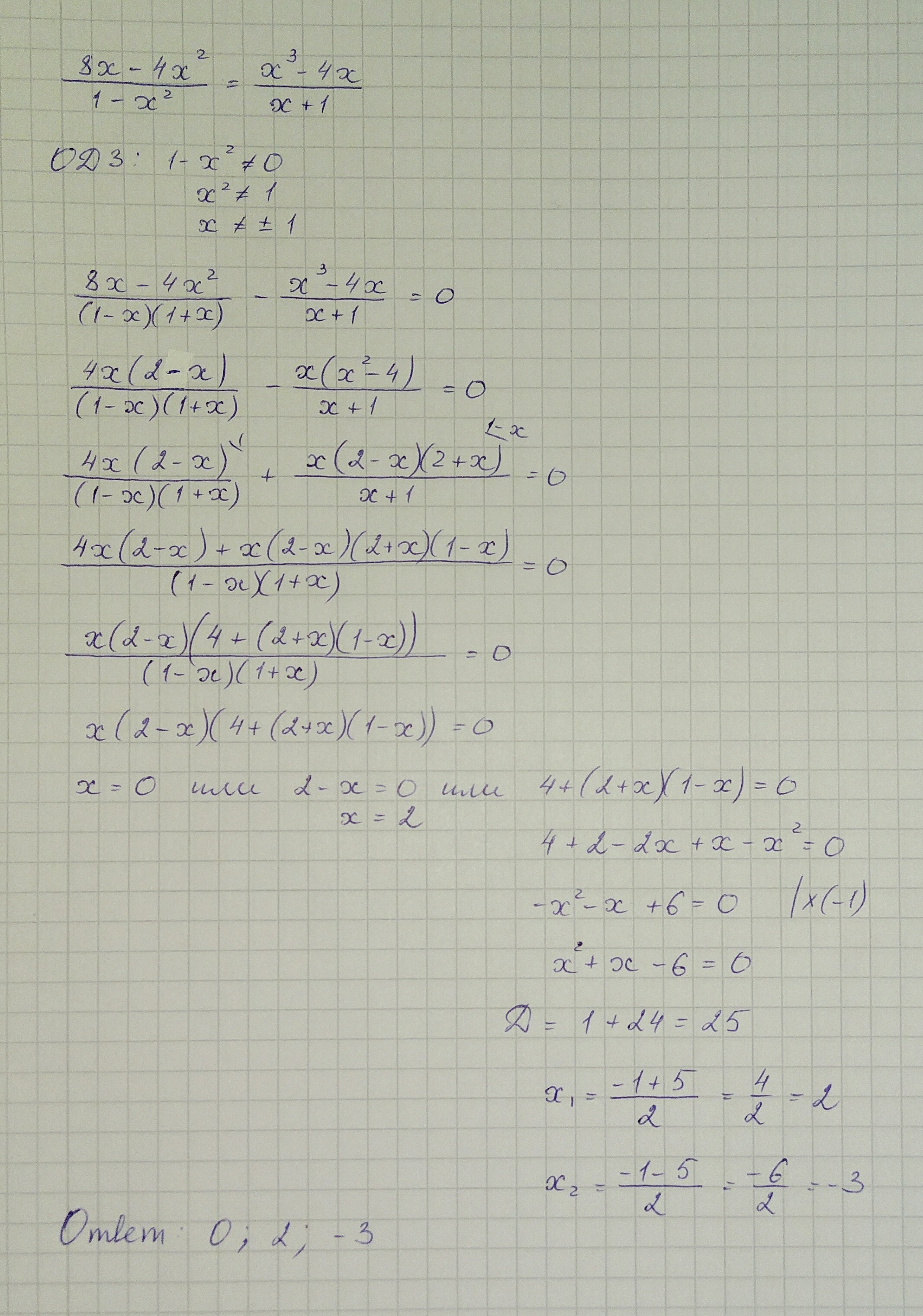
Ответ: 0; 2; -3
Решение прилагаю
Решение прилагаю
Приложения:
Автор ответа:
0
спасибо
Похожие вопросы
Предмет: Информатика,
автор: lazarhuk2006
Предмет: Английский язык,
автор: Erdnyaeva
Предмет: Геометрия,
автор: wolf55389
Предмет: Алгебра,
автор: kati39456
Предмет: Алгебра,
автор: Аноним