Предмет: Математика,
автор: pilipeczvika
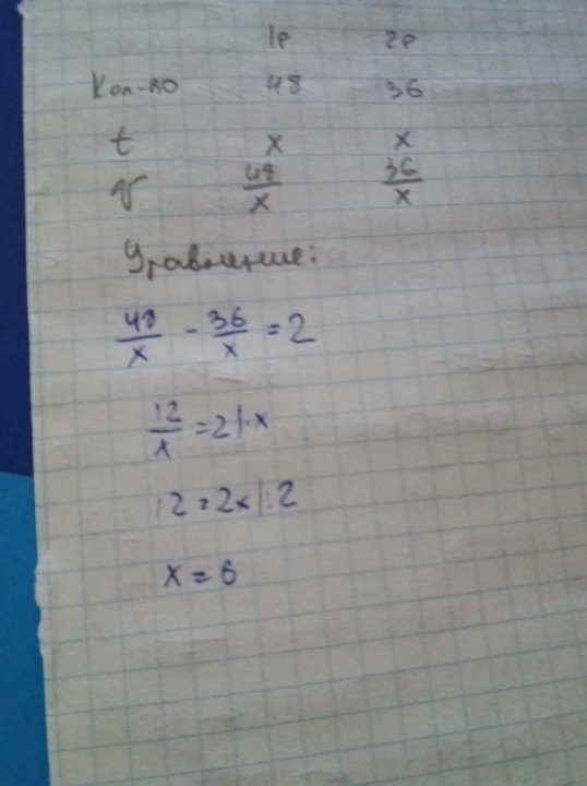
На изготовление 48 деталей первый рабочий тратит столько же времени,сколько второй рабочий на изготовление 36 деталей.Сколько деталей в час делает первый рабочий ,если известно,что второй рабочий делает на 2 детали в час меньше?
Ответы
Автор ответа:
0
Привет! Решение на фото:
Приложения:
Похожие вопросы
Предмет: Математика,
автор: chelovekrubik
Предмет: Алгебра,
автор: dashaegorova2000serg
Предмет: Алгебра,
автор: sofia27791
Предмет: Математика,
автор: Аноним
Предмет: Математика,
автор: petruhs50