Предмет: Информатика,
автор: bebebeeeshka
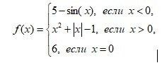
Cделайте пожалуйста!Баллов не жалко!
Приложения:
Ответы
Автор ответа:
0
Вот это вроде как. Должно работать.
Приложения:
Похожие вопросы
Предмет: Математика,
автор: olgalevitscaia58
Предмет: Английский язык,
автор: Fgofetch
Предмет: Физика,
автор: Hgcghg
Предмет: География,
автор: 14123
Предмет: Математика,
автор: sergia1985