Предмет: Математика,
автор: ВИКА009911
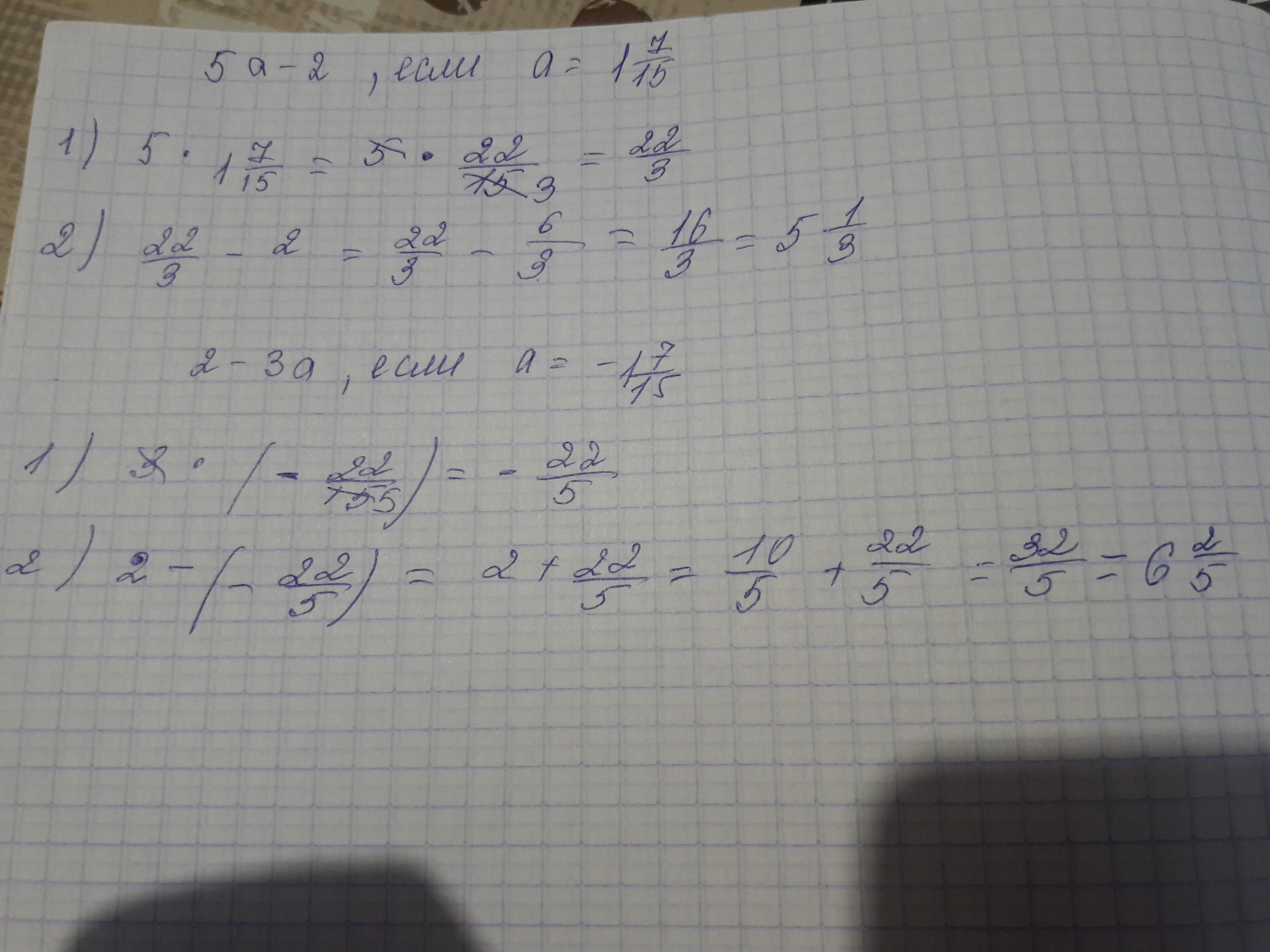
Помогите 5а-2 если а= 1цел7 15 ых. ____
2-3а если а = - 1целая 7 15 ых
Ответы
Автор ответа:
0
1.
5× 1ц 7/15=22/3
22/3 - 2 = 16/3 или 5ц 1/3
2.
3×(-1ц 7/15)= -22/5
2 - (-22/5)= 2+22/5=32/5 или 6ц 2/5
5× 1ц 7/15=22/3
22/3 - 2 = 16/3 или 5ц 1/3
2.
3×(-1ц 7/15)= -22/5
2 - (-22/5)= 2+22/5=32/5 или 6ц 2/5
Приложения:
Похожие вопросы
Предмет: Українська мова,
автор: vragcheloveka
Предмет: Химия,
автор: Flowers01
Предмет: Алгебра,
автор: lilpapclown
Предмет: Математика,
автор: Алена16012004
Предмет: Литература,
автор: 87073031117