Предмет: Алгебра,
автор: aveiro1
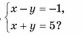
Решить систему уравнения
Приложения:
Ответы
Автор ответа:
0
Вот x=2 y=3.Ну как-то так.
Приложения:
Похожие вопросы
Предмет: Химия,
автор: osadchykalina
Предмет: Математика,
автор: vik807784
Предмет: Геометрия,
автор: anyali42p5hels
Предмет: Математика,
автор: 35351
Предмет: Математика,
автор: Ppatsha